Análisis de las modificaciones introducidas en el IRPF por la Ley 26/2014 de reforma de la Ley 35/2006
1. Introducción
2. Aspectos materiales de la sujeción al impuesto
3. Aspectos personales de la sujeción al impuesto
4. Aspectos temporales de la sujeción al impuesto
5. Rendimientos del trabajo personal
6. Rendimientos del capital inmobiliario
7. Rendimientos del capital mobiliario
8. Rendimientos de actividades económicas
9. Ganancias y pérdidas patrimoniales
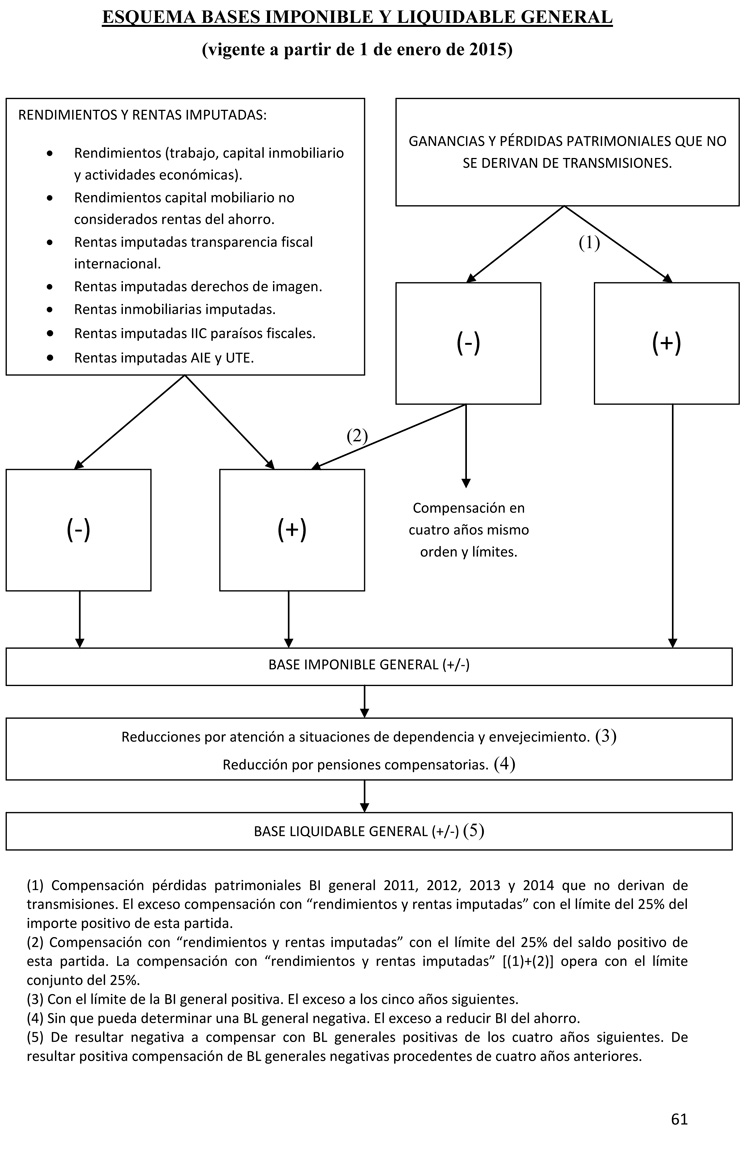
10. Determinación de la base imponible: clases de renta. Integración y compensación de rentas
11. Determinación de la base liquidable. Reducciones en la base imponible
12. Determinación de la cuota íntegra. Adecuación del impuesto a las circunstancias personales y familiares y escalas de gravamen
13. Determinación de la cuota líquida. Deducciones de normativa estatal
14. Determinación de la cuota diferencial y del resultado de la declaración
15. Regímenes especiales
16. Gestión del impuesto
1. Introducción [subir]
El 14 de marzo de 2014 se presentó al Consejo de Ministros el INFORME DE LA COMISIÓN DE EXPERTOS PARA LA REFORMA DEL SISTEMA TRIBUTARIO ESPAÑOL, que se elabora y formula con el planteamiento básico y objetivo general de procurar un desplazamiento de la carga tributaria desde la imposición directa y las contribuciones sociales a la imposición indirecta y medioambiental, y se concreta en una serie de propuestas dirigidas a la recomposición de las bases y de la capacidad recaudatoria de todos los tributos, drenadas en la actualidad por las numerosas exenciones, bonificaciones y deducciones que resultan aplicables, además de pretender su simplificación y homogeneización territorial.
Con este precedente, el Gobierno, en el Consejo de Ministros del 20 de junio de 2014, aprobó el Anteproyecto de Ley de Reforma del IRPF y, previos los preceptivos trámites administrativos de información pública y dictámenes de órganos consultivos, en el Consejo de Ministros del 1 de agosto de 2014 el Proyecto de Ley de Reforma del IRPF, que se publicó en el Boletín Oficial de las Cortes Generales el 6 de agosto de 2014.
Tras la preceptiva tramitación parlamentaria, con fecha 28 de noviembre de 2014 ha sido publicada en el Boletín Oficial del Estado la Ley 26/2014, de 27 de noviembre, por la que se modifican la Ley 35/2006, de 28 de noviembre, del Impuesto sobre la Renta de las Personas Físicas (en adelante Ley del IRPF), el texto refundido de la Ley del Impuesto sobre la Renta de No Residentes, aprobado por el Real Decreto Legislativo 5/2004, de 5 de marzo, y otras normas tributarias.
Tras esta reforma de la Ley del IRPF se mantiene la estructura básica del impuesto, pero se introducen una pluralidad de modificaciones que responden, según la Exposición de Motivos, a un triple objetivo:
- Minorar la carga tributaria soportada por los contribuyentes, con especial incidencia para los perceptores de rendimientos del trabajo y de actividades económicas de renta más baja y para quienes soporten mayores cargas familiares.
- Suprimir incentivos fiscales de forma generalizada para todos los contribuyentes.
- Fomentar el ahorro a largo plazo.
Dichas modificaciones entran en vigor con carácter general el 1 de enero de 2015 (aun cuando en determinados aspectos con un ámbito temporal de aplicación diferido implementan medidas que se completan en dos etapas, como por ejemplo las escalas de gravamen), pero existen algunas excepciones significativas que hacen referencia a los cuatro aspectos siguientes:
- Al nuevo régimen de exención de las indemnizaciones por despido o cese del trabajador que, en cuanto que es una medida con claro efecto anuncio, ha entrado en vigor al día siguiente de la publicación de la Ley de 26/2014 en el BOE (esto es el 29 de noviembre de 2014), produciendo efectos jurídicos a partir del 1 de agosto de 2014.
- A las modificaciones que afectan al método de estimación objetiva para la determinación del rendimiento neto de actividades económicas, que entrarán en vigor el 1 de enero de 2016.
- Al cambio en la sujeción pasiva de las sociedades civiles con personalidad jurídica y objeto mercantil, que, junto con el triple régimen transitorio que se articula, también entrarán en vigor el 1 de enero de 2016.
- Al nuevo tratamiento que se dispensa a la transmisión de derechos de suscripción preferente desgajados de acciones cotizadas en mercados organizados, que entrará en vigor el 1 de enero de 2017.
Abordamos a continuación el estudio de las numerosas modificaciones introducidas por el artículo primero (que consta de 98 apartados) de la Ley 26/2014, de Reforma del IRPF, y lo hacemos siguiendo el propio articulado de la Ley del IRPF, toda vez que, como se ha dicho, la reforma planteada mantiene su estructura básica así como la del propio impuesto.
2. Aspectos materiales de la sujeción al impuesto [subir]
En relación con los supuestos de exención contemplados en el artículo 7 de la Ley del IRPF se introducen las seis modificaciones siguientes:
2.1. Indemnización por despido o cese del trabajador
Se modifica la letra e) del artículo 7 de la Ley del IRPF, que regula el régimen de exención de las indemnizaciones por despido o cese del trabajador, para establecer un límite absoluto al importe de la exención que se cuantifica en 180.000 euros. Esto es, sigue vigente el régimen de exención actualmente aplicable, pero operando un límite máximo para la exención de 180.000 euros.
A este respecto, recordemos que las indemnizaciones por despido o cese del trabajador están exentas en la cuantía establecida con carácter obligatorio en el Estatuto de los Trabajadores, en su normativa de desarrollo o, en su caso, en la normativa reguladora de la ejecución de sentencias. Si bien, para los despidos colectivos del artículo 51 del Estatuto de los trabajadores y para los despidos objetivos por amortización de puesto de trabajo a los que se refiere la letra c) del artículo 52 del Estatuto de los trabajadores, cuando unos y otros estén basados en causas económicas, técnicas, organizativas, de producción o de fuerza mayor, estará exenta la cuantía de la indemnización percibida que no supere los límites establecidos con carácter obligatorio en el Estatuto de los Trabajadores para el despido improcedente. Pues bien, con la modificación introducida además del límite marcado por referencia a la normativa laboral se establece un límite cuantitativo específico de naturaleza fiscal.
Ahora bien, es esta una medida que, cuando se propuso con la aprobación por el Gobierno del Proyecto de Ley de Reforma del IRPF, incorporó un importante efecto anuncio por lo que, como antes se ha señalado, se ha dispuesto su entrada en vigor al día siguiente de la publicación en el BOE de la Ley 26/2014, de Reforma del IRPF, con la pretensión de que, al publicarse la norma antes del 31 de diciembre, como así ha sucedido, extienda sus efectos ya en 2014. Esto no obstante, para evitar su aplicación retroactiva a indemnizaciones anteriores a la aprobación por el Gobierno del Proyecto de Ley de Reforma del IRPF, el 1 de agosto de 2014, se ha añadido un apartado 3 a la disposición transitoria vigésima segunda de la Ley del IRPF para establecer que el nuevo límite cuantitativo de 180.000 euros no resultará de aplicación:
- Con carácter general, a las indemnizaciones por despidos o ceses producidos con anterioridad al 1 de agosto de 2014.
- A los despidos o ceses que, producidos a partir de 1 de agosto de 2014, se deriven de un expediente de regulación de empleo aprobado o de un despido colectivo en el que se hubiera comunicado la apertura del período de consultas a la autoridad laboral, en ambos casos con anterioridad a dicha fecha.
Veamos un EJEMPLO:
Ejemplo
Sea un contribuyente que ve extinguida su relación laboral como consecuencia de su cese por causas económicas y en virtud de un expediente de regulación de empleo que, iniciado en octubre de 2014, es autorizado el 12 de febrero de 2015. Su salario en la empresa viene siendo de 200 euros/día y ha trabajado durante 30 años en la misma. Ha recibido una indemnización de 270.000 euros, a razón de 45 días de salario por año trabajado (45 x 200 x 30 = 270.000).
Solución
Según el Estatuto de los Trabajadores, este contribuyente tendría derecho a una indemnización de 20 días de salario por año trabajado (20 x 200 x 30 = 120.000), con un máximo de 12 mensualidades (12 x 200 x 30 = 72.000).
Ahora bien, en un principio estaría exenta la indemnización que no supere los límites establecidos con carácter obligatorio para los despidos improcedentes (art. 7 e), segundo párrafo, de la Ley del IRPF). A estos efectos, para los contratos iniciados antes del 12 de febrero de 2012 (fecha de entrada en vigor de la reforma laboral) como es el caso, la indemnización exenta se calculará sobre la base de 45 días de salario por año de trabajo hasta dicha fecha y a razón de 33 días por año trabajado a partir de la misma, prorrateándose en ambos casos por meses los períodos de tiempo inferiores al año. En nuestro caso:
[(45 x 200 x 27) + (33 x 200 x 3)] = 262.800 euros
El límite máximo se establece en 720 días (24 meses), salvo que del cálculo de la parte de la indemnización exenta correspondiente al período anterior al 12 de febrero de 2012 resultase una cuantía más elevada al computarse un número de días superior, en cuyo caso se aplicará este importe como tope, sin que en ningún caso pueda ser superior a 42 mensualidades. En nuestro caso:
(45 x 200 x 27) = 243.000 > 144.000 = (720 x 200)
Límite: (42 x 200 x 30) = 252.000 euros
En principio, con la normativa vigente anterior a la reforma, la indemnización exenta sería de 243.000 euros, al no superar el límite de 252.000 euros. Ahora bien, tras la reforma resultará de aplicación el límite absoluto a la exención de las indemnizaciones por despido o cese del trabajador que se cifra en 180.000 euros. Por tanto los 270.000 euros percibidos en concepto de indemnización por despido tributarán como sigue:
- 180.000 euros como renta sujeta y exenta del IRPF [art. 7 e) de la Ley del IRPF], siempre que se verifiquen los requisitos del artículo 1 del Reglamento del IRPF que, en cuanto no contravienen la nueva normativa, continuaría resultando de aplicación.
- Los 90.000 euros restantes como renta sujeta y no exenta, tributarán como rendimientos del trabajo con un período de generación superior a dos años (los 30 años de duración de la relación laboral) con derecho a una reducción por irregularidad del 30%, en los términos que más adelante se comentan (art. 18.2 y 3 de la Ley del IRPF).
2.2. Becas para estudios y becas para formación de investigadores
Se modifica la letra j) del artículo 7 de la Ley del IRPF, que establece el régimen de exención de las becas para estudios y para formación de investigadores, para extender la exención a las becas concedidas por las fundaciones bancarias reguladas en el Título II de la Ley 26/2013, de 27 de diciembre, de cajas de ahorros y fundaciones bancarias en el desarrollo de su actividad de obra social.
2.3. Planes de Ahorro a Largo Plazo (PALP)
Se da nueva redacción a la letra ñ) del artículo 7 de la Ley del IRPF (que hasta el 31 de diciembre de 2012 regulaba la exención de las ganancias obtenidas por los premios derivados de determinadas loterías y apuestas, estando a partir de dicha fecha vacía de contenido) para establecer la exención de los rendimientos positivos del capital mobiliario (no de los negativos) generados a través de un doble instrumento financiero que se crea y regula por la disposición adicional vigésima sexta de la Ley del IRPF, a la que se da nueva redacción a tales efectos:
- El denominado Seguro Individual de Ahorro a Largo Plazo (SIALP), concebido como un seguro de vida individual con cobertura de supervivencia o fallecimiento, y
- la denominada Cuenta Individual de Ahorro a Largo Plazo (CIALP), concebida como un contrato bancario de depósito de dinero.
La regulación financiera de ambos instrumentos de ahorro a largo plazo presenta las siguientes características básicas:
- Las aportaciones se limitan a 5.000 euros anuales.
- Un mismo contribuyente no pude tener abierto de forma simultánea más de un PALP, cualquiera que sea su naturaleza (seguro o depósito), si bien se permite la posibilidad de cambiar la instrumentación de un PALP entre seguros individuales de vida y depósitos constituidos en cuentas individuales sin necesidad de extinguir el Plan, en los términos y condiciones que reglamentariamente se establezcan.
- No se puede disponer del capital resultante del PALP antes de transcurridos cinco años desde la apertura del mismo (cuando se satisface la primera prima o cuando se realiza la primera aportación).
- Cualquier disposición anticipada o la superación del límite de aportación anual, determinará la extinción del PALP y la consiguiente pérdida de la exención con la obligación de integrar en la base imponible del ahorro todos los rendimientos generados durante la vigencia del PALP, lo que deberá tener lugar en el período impositivo en el que se produzca el incumplimiento, debiéndose de practicar la retención correspondiente por parte de la entidad pagadora al 19% (20% en 2015).
- Los rendimientos negativos del capital mobiliario que se obtengan durante la vigencia o a la extinción del PALP se imputarán, en la parte que exceda de la suma de los rendimientos positivos que hubieran resultado exentos, al período impositivo en el que se produzca la extinción, en todo caso.
Indicar que ambos productos financieros deben garantizar la recuperación de, al menos, el 85% de las cantidades aportadas o depositadas (cuando la garantía sea inferior al 100% el producto financiero contratado deberá tener un vencimiento de al menos un año), permitiéndose la movilidad sin tributación entre los SIALP y las CIALP bajo el cumplimiento de determinados requisitos, como ya se ha señalado.
2.4. Constitución de rentas vitalicias aseguradas mediante Planes Individuales de Ahorro Sistemático (PIAS)
La letra v) del artículo 7 de la Ley del IRPF viene declarando exentas las rentas que se pongan de manifiesto en el momento de la constitución de rentas vitalicias aseguradas provenientes de PIAS. Este tipo de producto financiero de fomento del ahorro a largo plazo, que son los PIAS, tiene así reconocida la exención de la rentabilidad acumulada siempre que el capital final se destine a la constitución de una renta vitalicia asegurada y su regulación financiera se contiene en la disposición adicional tercera de la Ley del IRPF.
De la regulación financiera de los PIAS contenida en la disposición adicional tercera de la Ley del IRPF pueden destacarse las tres características básicas siguientes:
- El importe de las primas está limitado a 8.000 euros anuales.
- El montante global máximo de primas aportadas se eleva a 240.000 euros.
- En el momento de constitución de la renta vitalicia asegurada la primera prima satisfecha deberá tener una antigüedad superior a diez años.
La disposición transitoria decimocuarta de la Ley del IRPF, por su parte, regula la transformación en PIAS, susceptibles de la exención ahora comentada, de determinados contratos de seguro de vida formalizados con anterioridad a 1 de enero de 2007, siempre que concurran una serie de requisitos y ciertas cautelas equiparables a las características básicas de los PIAS.
Pues bien, en este contexto se modifica la letra g) de la disposición adicional tercera y el apartado primero de la disposición transitoria decimocuarta de la Ley del IRPF, para reducir la antigüedad mínima de los PIAS de diez a cinco años.
La reducción de la antigüedad de los PIAS que resultará de aplicación también a los formalizados con anterioridad a 1 de enero de 2015, a cuyos efectos se añade una nueva disposición transitoria trigésima primera a la Ley del IRPF que, además, viene a disponer que no tendrá efectos tributarios sobre el tomador la transformación de PIAS (o de contratos de seguro de los regulados en la citada disposición transitoria decimocuarta de la Ley del IRPF), formalizados antes del 1 de enero de 2015, con la exclusiva finalidad de anticipar la constitución de la renta vitalicia asegurada de acuerdo con el nuevo requisito de antigüedad de cinco años.
2.5. Exención mínima por dividendos y participaciones en beneficios
Se suprime la letra y) del artículo 7 de la Ley del IRPF, para eliminar la exención mínima de 1.500 euros anuales prevista en relación con los rendimientos obtenidos por la participación en fondos propios de cualquier tipo de entidad, percibidos en forma de dividendos, prima de asistencia a juntas o participación en beneficios.
2.6. Rendimientos del trabajo por prestaciones obtenidas en forma de renta por personas con discapacidad
La letra w) del artículo 7 de la Ley del IRPF viene declarando exentos, con el límite conjunto de hasta un importe máximo anual de tres veces el Indicador Público de Rentas de Efectos Múltiples (IPREM), los siguientes rendimientos del trabajo percibidos por personas con discapacidad:
- Los correspondientes a prestaciones, percibidas en forma de renta, derivadas de aportaciones a sistemas de previsión social constituidos a favor de personas con discapacidad.
- Los derivados de aportaciones a patrimonios protegidos de personas con discapacidad.
Pues bien, se modifica la letra w) del artículo 7 de la Ley del IRPF con el único objeto de elevar el límite cuantitativo con que operan ambas exenciones. Así, se establece claramente que el límite cuantitativo de hasta un importe máximo anual de tres veces el IPREM operará individualmente para cada uno de los dos supuestos de exención contemplados.
2.7. Tripulantes de determinados buques de pesca
Al margen de las modificaciones introducidas en los supuestos de exención contemplados en el artículo 7 de la Ley del IRPF, se añade una nueva disposición adicional cuadragésima primera a la misma para establecer una exención del 50% de los rendimientos del trabajo personal que se hayan devengado con ocasión de la navegación realizada por los tripulantes de buques que pesquen túnidos o especies afines y cumplan determinadas condiciones.
3. Aspectos personales de la sujeción al impuesto [subir]
3.1. Entidades en Régimen de Atribución de Rentas
Se da nueva redacción al apartado 3 del artículo 8 de la Ley del IRPF, para adecuarlo a las modificaciones introducidas por la Ley 27/2014, de 27 de noviembre, del Impuesto sobre Sociedades, en relación con el ámbito de sujeción pasiva de este último, que establece que las sociedades civiles con personalidad jurídica y objeto mercantil pasan a ser contribuyentes del Impuesto sobre Sociedades.
En efecto, el artículo 7.1 a) de la Ley del Impuesto sobre Sociedades señala como contribuyentes de este impuesto a: “Las personas jurídicas, excluidas las sociedades civiles que no tengan objeto mercantil”. Luego, a sensu contrario, serán contribuyentes del Impuesto sobre Sociedades las sociedades civiles con personalidad jurídica que tengan objeto mercantil, que tradicionalmente vienen tributando en el IRPF a través del régimen de atribución de rentas.
Dos son pues los requisitos para que las sociedades civiles sean contribuyentes del Impuesto sobre Sociedades:
3.1.1. Que tengan personalidad jurídica por hacer públicos sus pactos
Hasta ahora la inclusión “en todo caso” (con la salvedad de las SAT) de las sociedades civiles con personalidad jurídica en el ámbito del IRPF a través del régimen de atribución de rentas, traslucía la desconfianza del legislador hacia unas sociedades en las que no hay criterios claros sobre cuándo alcanzan la personalidad jurídica y en las que la publicidad registral no aparece con la intensidad que en las sociedades mercantiles. Por lo que, presumiéndose la existencia de menos garantías frente a terceros, se recelaba de la mayor facilidad para la interposición de sociedades civiles para buscar la tributación por el Impuesto sobre Sociedades eludiendo la correspondiente al IRPF.
Con la reforma parecen superarse tales reticencias y recelos y ahora lo que se pretende es expulsar del ámbito de la sujeción pasiva del IRPF a las sociedades civiles con personalidad jurídica y objeto mercantil con la doble pretensión, al parecer, de reducir de manera indirecta el ámbito de aplicación del régimen de módulos del método de la estimación objetiva y de evitar nichos de elusión contributiva a través de formas organizativas que permitan la aplicación de un splitting fáctico.
3.1.2. Que tengan objeto mercantil
La cuestión está en determinar qué se entiende por objeto mercantil, que podría cohonestarse con la existencia de ánimo de lucro. En todo caso, recordemos que el artículo 326 del Código de Comercio establece que:
“No se reputarán mercantiles:
- Las compras de efectos destinados al consumo del comprador o de la persona por cuyo encargo se adquirieren.
- Las ventas que hicieren los propietarios y los labradores o ganaderos de los frutos o productos de sus cosechas o ganados, o de las especies en las que les paguen las rentas.
- Las ventas que, de los objetos construidos o fabricados por los artesanos, hicieren estos en sus talleres.
- La reventa que haga cualquier persona no comerciante del resto de los acopios que hizo para su consumo.”
Ahora bien, en el Anteproyecto de Ley de Código Mercantil se aborda esta cuestión en los siguientes términos:
“Ámbito de aplicación
Artículo 001-1. Objeto del Código Mercantil.
En el marco constitucional de la economía de mercado, el presente Código contiene las normas mercantiles que regulan el mercado de bienes y servicios en todo el territorio español, el estatuto de las personas incluidas en su ámbito y las actividades desarrolladas en el mercado.
Artículo 001-2. Ámbito subjetivo.
1. A los efectos de este Código son operadores del mercado y quedan sujetos a sus normas:
a) Los empresarios. Se consideran empresarios:
1.º Las personas físicas que ejerzan o en cuyo nombre se ejerza profesionalmente una actividad económica organizada de producción o cambio de bienes o de prestación de servicios para el mercado, incluidas las actividades agrarias y las artesanales.
2.º Las personas jurídicas que tengan por objeto alguna de las actividades indicadas en el número anterior.
3.º Las sociedades mercantiles, cualquiera que sea su objeto.
b) Las personas físicas que ejerzan profesionalmente y en nombre propio una actividad intelectual, sea científica, liberal o artística, de producción de bienes o de prestación de servicios para el mercado.
c) Las personas jurídicas que, aun no siendo empresarios y con independencia de su naturaleza y objeto, ejerzan alguna de las actividades expresadas en este artículo, así como los entes no dotados de personalidad jurídica cuando por medio de ellos se ejerza alguna de esas actividades.
2. Se consideran operadores del mercado las sociedades o entidades no constituidas conforme al Derecho español que ejerzan en España alguna de las actividades expresadas.
Artículo 001-3. Ámbito objetivo.
1. Son mercantiles y quedan sujetos a las normas del presente Código:
a) Los actos y contratos en que intervenga un operador del mercado sujeto a este Código conforme al artículo 001-2 y cuyo contenido principal pertenezca a las correspondientes actividades expresadas en ese artículo.
b) Los actos y contratos que, por razón de su objeto o del mercado en que se celebren, el Código califica de mercantiles.
c) Los actos de competencia en el mercado.
2. Cuando en los actos y contratos referidos en el apartado anterior intervenga un consumidor, la aplicación de las normas de este Código se hará sin perjuicio de la legislación protectora de los consumidores.”
La entrada en vigor del nuevo régimen de sujeción pasiva de las sociedades civiles con personalidad jurídica y objeto mercantil se retrasa para los periodos impositivos iniciados a partir de 1 de enero de 2016, tal y como señala la Disposición Transitoria 34 a) de la Ley del Impuesto sobre Sociedades, articulándose un triple régimen transitorio al respecto:
- En primer lugar, se modifica la Disposición transitoria decimonovena de la Ley del IRPF para establecer un régimen fiscal especial para los supuestos de disolución y liquidación de aquellas sociedades civiles con personalidad jurídica y objeto mercantil que, habiendo tributado hasta el 31 de diciembre de 2015 en régimen de atribución de rentas por el IRPF, cumplan los requisitos para adquirir la condición de contribuyentes del Impuesto sobre Sociedades a partir de 1 de enero de 2016.
- En segundo lugar, la Disposición transitoria trigésima segunda de la Ley del Impuesto sobre Sociedades establece el régimen transitorio aplicable a las sociedades civiles que, a partir de 1 de enero de 2016, pasen a ser contribuyentes de este impuesto.
- Por último, se añade una nueva disposición transitoria trigésima a la Ley del IRPF para establecer que, las personas físicas contribuyentes del IRPF, socios de sociedades civiles que adquieran a partir de 1 de enero de 2016 la condición de contribuyentes del Impuesto sobre Sociedades habiendo tributado con anterioridad en régimen de atribución de rentas por el IRPF, podrán seguir aplicando las deducciones por actividades económicas acreditadas a dicha fecha y pendientes de aplicación, siempre que se cumplan las condiciones, requisitos y límites establecidos en el artículo 69 de la Ley del IRPF y en la Ley del Impuesto sobre Sociedades.
Vemos que, de los cuatro supuestos de hecho que se pueden plantear (socios, personas físicas o jurídicas, de sociedad civil que se extingue y socios, personas físicas o jurídicas, de sociedad civil que pasa a ser contribuyente del Impuesto sobre Sociedades) la disposición transitoria trigésima de la Ley del IRPF solamente contempla uno de ellos, el de las personas físicas contribuyentes del IRPF socios de sociedades civiles que adquieran a partir de 1 de enero de 2016 la condición de contribuyentes del Impuesto sobre Sociedades, habiendo tributado con anterioridad en régimen de atribución de rentas por el IRPF.
En todo caso, entendemos que, en el régimen de atribución de rentas del IRPF, el derecho a las deducciones por actividades económicas se “atribuye” o corresponde a los socios, personas físicas o jurídicas, quienes las aplican con los límites establecidos en el impuesto respectivo.
Analizamos a continuación el citado régimen fiscal especial de disolución y liquidación de determinadas sociedades civiles, cuando se opte por esta alternativa, así como el régimen transitorio aplicable a aquéllas otras que se conviertan en contribuyentes del Impuesto sobre Sociedades a partir de 1 de enero de 2016.
A) Disolución y liquidación de determinadas sociedades civiles.
1. Requisitos para la opción.
Podrán optar por disolverse y liquidarse las sociedades en las que concurran las siguientes circunstancias:
- Que, con anterioridad a 1 de enero de 2016, les hubiera resultado de aplicación el régimen de atribución de rentas del IRPF.
- Que a partir de 1 de enero de 2016 cumplan los requisitos para adquirir la condición de contribuyente del Impuesto sobre Sociedades.
- Que en los seis primeros meses de 2016 adopten válidamente el acuerdo de disolución con liquidación.
- Que se realicen con posterioridad al acuerdo, dentro del plazo de los seis meses siguientes a su adopción, todos los actos o negocios jurídicos necesarios para la extinción de la sociedad civil, de acuerdo con los requisitos formales que se establezcan reglamentariamente.
2. Régimen fiscal especial de disolución y liquidación de sociedades civiles con personalidad jurídica y objeto mercantil.
- Exención en el ITPyAJD y en el IIVTNU.
- A efectos del IRPF, del Impuesto sobre Sociedades y del IRNR de los socios de la sociedad civil que se disuelve, se establece una regla para determinar el valor fiscal de los activos adquiridos, distintos de los créditos y de la tesorería, que, en ciertos casos puede determinar, además, la obtención de una renta. La citada regla es la siguiente:
El valor de adquisición y, en su caso, de titularidad de las acciones o participaciones en el capital de la sociedad que se disuelve (determinado en los términos que luego se comentan), se aumentará en el importe de las deudas adjudicadas y se disminuirá en el importe de los créditos y dinero o signo que lo represente adjudicados. El resultado de tal operativa puede arrojar un saldo positivo, negativo o ser igual a cero, con las siguientes consecuencias:
- Si el resultado fuese negativo:
- Dicho resultado se considerará renta para las personas jurídicas y ganancia patrimonial a integrar en la base imponible del ahorro para las personas físicas.
- El valor fiscal de adquisición de los activos adjudicados, distintos de los créditos y de la tesorería, será cero y se considerarán adquiridos por los socios, personas físicas o jurídicas, en la fecha de su adquisición por la sociedad que se extingue.
- Si el resultado fuese cero:
- Se considerará que no existe renta alguna.
- El valor fiscal de adquisición de los activos adjudicados, distintos de los créditos y de la tesorería, será cero y se considerarán adquiridos por los socios, personas físicas o jurídicas, en la fecha de su adquisición por la sociedad que se extingue.
- Si el resultado fuese positivo:
- Se considerará que no existe renta alguna.
- El valor fiscal de adquisición de los activos adjudicados, distintos de los créditos y de la tesorería, será el que resulte de distribuir dicho resultado positivo entre los distintos activos adquiridos, en función del valor de mercado que resulte del balance final de liquidación de la sociedad que se extingue, y se considerarán adquiridos por los socios, personas físicas o jurídicas, en la fecha de su adquisición por la citada sociedad disuelta y liquidada.
- Si el resultado fuese negativo:
Hasta la finalización del proceso de extinción de la sociedad civil, cuando hubiera tenido lugar a lo largo de 2016 conforme a los plazos anteriormente señalados, esta tributará por el IRPF en el régimen de atribución de rentas, sin que llegue a adquirir la condición de contribuyente del Impuesto sobre Sociedades.
Si el proceso de extinción no tiene lugar conforme a los plazos indicados, la sociedad civil pasará a tener la condición de contribuyente por el Impuesto sobre Sociedades a partir de 1 de enero de 2016, sin que pueda acogerse al régimen especial de disolución y liquidación que se acaba de comentar.
Veamos un EJEMPLO:
Ejemplo
Supongamos la sociedad civil “X SC”, con personalidad jurídica y objeto mercantil, que, optando por disolverse y liquidarse, se extingue dentro de los plazos señalados en la Disposición Transitoria Decimonovena de la Ley del IRPF, presentando el siguiente balance de liquidación:
ACTIVO |
PASIVO |
||
Inmueble 1 |
600,00 |
Fondos propios |
1.200,00 |
Inmueble 2 |
400,00 |
Deudas |
600,00 |
Otros activos mobiliarios |
200,00 |
||
Deudores |
500,00 |
||
Tesorería |
100,00 |
||
Total Activo |
1.800,00 |
Total Pasivo |
1.800,00 |
Supongamos que la sociedad civil pertenece al 50% a dos personas físicas residentes, cuyas participaciones en la entidad tienen un valor de adquisición de 500 para cada una de ellas, correspondiente tanto a la aportación del inmueble 2 en el momento de su constitución en marzo de 1990 como a la posterior aportación del inmueble 1 en enero de 2000, teniendo un coste de titularidad individual de 100.
Supongamos también que el inmueble 1, que fue aportado el 10 de enero de 2000, tiene un valor de mercado de 1.500, que el inmueble 2, que fue aportado el 20 de marzo de 1990, tiene un valor de mercado de 2.000 y que el resto de activos tienen un valor de mercado igual a su valor contable habiendo sido adquiridos en 2015.
Se han realizado las siguientes adjudicaciones a los socios:
- Socio PF1: Recibe el inmueble 1, la mitad del resto de activos mobiliarios y la mitad de los deudores y la tesorería, adjudicándose deudas por 50.
- Socio PF2: Recibe el inmueble 2, la mitad del resto de activos mobiliarios y la mitad de los deudores y la tesorería, adjudicándose deudas por 550.
Solución
- Exención en el ITPyAJD y en el IIVTNU.
- Tributación IRPF socio PF1:
Valor adquisición participaciones +500 Coste de titularidad +100 Deudas adjudicadas +50 Deudores y tesorería (250 + 50) -300 Diferencia +350 Luego no obtiene renta alguna y el inmueble 1 que le ha sido adjudicado tendrá un valor fiscal de (1.500 x 350 / 1.600) = 328,13 y como fecha de adquisición el 10 de enero de 2000 y el resto de activos adjudicados tendrán un valor fiscal de (100 x 350 / 1.600) = 21,87 considerándose adquiridos en 2015.
- Tributación IRPF socio PF2:
Valor adquisición participaciones +500 Coste de titularidad +100 Deudas adjudicadas +550 Deudores y tesorería (250 + 50) -300 Diferencia +850
Luego no obtiene renta alguna y el inmueble 2 que le ha sido adjudicado tendrá un valor fiscal de (2.000 x 850 / 2.100) = 809,52 y como fecha de adquisición el 20 de marzo de 1990 y el resto de activos adjudicados tendrán un valor fiscal de (100 x 850 / 2.100) = 40,48 considerándose adquiridos en 2015.
B) Régimen transitorio aplicable a las sociedades civiles con personalidad jurídica y objeto mercantil que pasan a tributar como contribuyentes del Impuesto sobre Sociedades a partir de 1 de enero de 2016.
La Disposición transitoria trigésima segunda de la Ley del Impuesto sobre Sociedades establece el régimen transitorio aplicable a las sociedades civiles que, a partir de 1 de enero de 2016, pasen a ser contribuyentes de este impuesto. Sucintamente:
- Las rentas devengadas en los períodos impositivos en los que se tributó en régimen de atribución de rentas, no integradas en base imponible a 1 de enero de 2016, se integrarán en la base imponible del Impuesto sobre Sociedades del primer período impositivo iniciado a partir de dicha fecha.
- Los cambios de criterio de imputación temporal que pudieran resultar de aplicación, en ningún caso comportarán que algún gasto o ingreso quede sin computar ni que se computen doblemente.
- Cuando la sociedad civil con personalidad jurídica y objeto mercantil hubiese tenido obligación de llevar contabilidad ajustada al Código de Comercio en 2014 y 2015:
- Los beneficios distribuidos, obtenidos en régimen de atribución de rentas, cualquiera que sea la entidad que los reparta y su régimen de tributación en ese momento, recibirán el siguiente tratamiento:
- Cuando el perceptor sea un contribuyente del IRPF, del Impuesto sobre Sociedades o del IRNR con establecimiento permanente, no se integrarán en la base imponible, no estando sujetos a retención o ingreso a cuenta.
- Cuando el perceptor sea un contribuyente del IRNR sin establecimiento permanente, tendrán el tratamiento que corresponda según el texto refundido de la Ley del IRNR.
- Rentas obtenidas en la transmisión de participaciones que se correspondan con reservas procedentes de beneficios no distribuidos obtenidos en régimen de atribución de rentas, cualquiera que sea la entidad cuyas participaciones se transmiten y su régimen de tributación en ese momento, recibirán el siguiente tratamiento:
- Cuando el transmitente sea contribuyente del IRPF, se computará una ganancia o pérdida patrimonial, a integrar en la base imponible del ahorro, por diferencia entre el valor de adquisición y titularidad y el valor de transmisión de la participación. El valor de adquisición y titularidad se estimará integrado:
- Por el precio o cantidad desembolsada para su adquisición.
- Por el importe de los beneficios sociales que, sin efectiva distribución, hubiesen sido obtenidos por la entidad tributando en el régimen de atribución de rentas.
- Cuando se trate de participaciones adquiridas con posterioridad a la obtención de los beneficios sociales, el valor de adquisición se disminuirá en el importe de la parte de estos que hubieran sido obtenidos por la entidad tributando en el régimen de atribución de rentas.
- Cuando el transmitente sea contribuyente del Impuesto sobre Sociedades o del IRNR con establecimiento permanente, se estará a lo dispuesto en la normativa del Impuesto sobre Sociedades.
- Cuando el transmitente sea contribuyente del IRNR sin establecimiento permanente, se estará a lo dispuesto en el texto refundido de la Ley del IRNR.
- Cuando la sociedad civil con personalidad jurídica y objeto mercantil no hubiese tenido obligación de llevar contabilidad ajustada al Código de Comercio en 2014 y 2015:
- Se entenderá a efectos fiscales que, a 1 de enero de 2016, la totalidad de los fondos propios están formados por aportaciones de los socios, con el límite de la diferencia entre el valor del inmovilizado material e inversiones inmobiliarias, reflejados en los correspondientes libros registros, y el pasivo exigible, salvo que se pruebe la existencia de otros elementos patrimoniales.
- El valor de las participaciones sociales a 1 de enero de 2016, adquiridas con anterioridad a dicha fecha, se determinará considerando que la totalidad de los fondos propios están formados por aportaciones de los socios, con el límite de la diferencia entre el valor del inmovilizado material e inversiones inmobiliarias, reflejados en los correspondientes libros registros, y el pasivo exigible, salvo que se pruebe la existencia de otros elementos patrimoniales.
3.2. Régimen de individualización de rentas
Se modifican los apartados 3 y 5 del artículo 11 de la Ley del IRPF, al objeto de desvincular el régimen de individualización de los rendimientos del capital y de las ganancias y pérdidas patrimoniales de las reglas sobre titularidad jurídica de bienes y derechos establecidas en la Ley 19/1991, del Impuesto sobre el Patrimonio.
En efecto, se establece que los rendimientos del capital y las ganancias y pérdidas patrimoniales se entenderán obtenidas por quienes sean titulares de los bienes y derechos que los generan, atendiendo a las normas sobre titularidad jurídica aplicables en cada caso, régimen económico matrimonial incluido, y en función de las pruebas aportadas o descubiertas por la Administración, sin que la sustitución de la remisión normativa al Impuesto sobre el patrimonio suponga introducir cambios sustantivos.
4. Aspectos temporales de la sujeción al impuesto [subir]
4.1. Imputación temporal de las ganancias patrimoniales derivadas de ayudas públicas
Se modifica la letra c) del apartado 2 del artículo 14 de la Ley del IRPF, para establecer una regla general de imputación temporal para las ganancias patrimoniales derivadas de la obtención de subvenciones públicas.
Así, se determina que con carácter general la imputación temporal de las ganancias patrimoniales derivadas de la obtención de cualquier ayuda pública se pospone, en todo caso, al momento del cobro. Hasta ahora se imputaban al período impositivo de su obtención, esto es, cuando el órgano concedente de la ayuda comunicaba al solicitante la concesión de la misma, con independencia del momento del cobro, salvo que, de acuerdo con los requisitos de la concesión, la exigibilidad de la ayuda pública reconocida quedara pospuesta a un momento posterior, en cuyo caso se debía atender al momento de la exigibilidad.
Ahora bien, todo ello sin perjuicio de las reglas específicas establecidas al respecto para determinadas ayudas públicas, como pueden ser:
- Las ayudas públicas percibidas para reparar defectos estructurales en la vivienda habitual (14.2 g) de la Ley del IRPF).
- La Ayuda Estatal Directa a la Entrada (AEDE) para el primer acceso a la vivienda en propiedad (14.2 i) de la Ley del IRPF).
- Las ayudas públicas a titulares de bienes integrantes del Patrimonio Histórico español (14.2 j) de la Ley del IRPF).
En relación con las cuales se mantiene la regla especial de imputación por cuartas partes anuales al período impositivo de su obtención, que ahora coincidirá con el momento del cobro, y a los tres años siguientes.
Esta regla sobre la imputación de las rentas derivadas de la percepción de ayudas públicas se aplica exclusivamente cuando se califiquen como ganancias patrimoniales, obtenidas en el ejercicio de una actividad económica o no, pero no cuando su calificación sea otra, como la de rendimientos obtenidos en el ejercicio de una actividad económica en cuyo caso habremos de estar a las reglas de imputación temporal vigentes a efectos del Impuesto sobre Sociedades.
4.2. Pérdidas patrimoniales derivadas de créditos vencidos y no cobrados
Se añade una nueva letra k) al apartado 2 del artículo 14 de la Ley del IRPF, para aclarar el momento a partir del cual se podrá imputar la pérdida patrimonial derivada de un crédito incobrable. Pérdidas patrimoniales que, según ha venido siendo constante criterio administrativo, no podían ser imputadas mientras no fuera declarada judicialmente la insolvencia del deudor.
Así, se establece que los créditos vencidos y no cobrados se integrarán en la base imponible del período impositivo en el que concurra alguna de las siguientes circunstancias, todas ellas referidas a la Ley 22/2003, de 9 de julio, Concursal:
- Que adquiera eficacia una quita establecida en un acuerdo de refinanciación judicialmente homologable o un acuerdo extrajudicial de pagos.
- Que, encontrándose el deudor en situación de concurso, adquiera eficacia el convenio en el que se acuerde una quita por el importe del crédito o que, en otro caso, concluya el procedimiento concursal sin que se hubiera satisfecho el crédito salvo cuando se acuerde la conclusión del concurso por determinadas causas previstas en la citada Ley Concursal.
- Que se cumpla el plazo de un año desde el inicio del procedimiento judicial distinto de los de concurso que tengan por objeto la ejecución del crédito sin que este haya sido satisfecho, cuando, en todo caso, el plazo del año finalice a partir de 1 de enero de 2015 (disposición adicional vigésima primera de la Ley del IRPF).
Obviamente, si el crédito fuera cobrado con posterioridad a la integración en base imponible de la pérdida patrimonial, operada de acuerdo con las reglas anteriores, en el período en el que se produzca dicho cobro se computará una ganancia patrimonial por el importe cobrado. Ganancia y pérdida patrimonial que, entendemos, se integrarán en la base imponible general al no derivarse de una transmisión.
5. Rendimientos del trabajo personal [subir]
5.1. Imputación fiscal de los contratos de seguro que, al margen de los de naturaleza colectiva, cubran conjuntamente las contingencias de jubilación y de fallecimiento o incapacidad
Se modifica la letra f) del apartado 1 del artículo 17 de la Ley del IRPF, para establecer, en relación con los contratos de seguro que, al margen de los contratos de seguro colectivos, tengan una naturaleza mixta al cubrir conjuntamente las contingencias de jubilación y de fallecimiento o incapacidad, el carácter obligatorio de la imputación fiscal de la parte de las primas satisfechas que corresponde al capital en riesgo por fallecimiento o incapacidad, siempre que su importe exceda de 50 euros anuales. A estos efectos, se considera capital en riesgo la diferencia entre el capital asegurado para fallecimiento o incapacidad y la provisión matemática.
5.2. Rendimientos del trabajo en especie
A) Rendimientos del trabajo en especie exonerados de gravamen
Se modifica el apartado 2 y se añade un nuevo apartado 3 al artículo 42 de la Ley del IRPF, al objeto de establecer una doble lista diferenciando entre aquellos supuestos que no tienen la consideración de rendimientos del trabajo en especie de aquellos otros que se configuran como supuestos de exención.
Al propio tiempo se aprovecha la reforma para revisar el ámbito de aplicación de la exención vinculada a la entrega de acciones gratuitas a los trabajadores de la propia empresa en la que trabajan, para evitar que sea una fórmula fundamentalmente utilizada para retribuir a los trabajadores de mayor renta, como puede ser el personal de alta dirección.
Así, se siguen articulando como supuestos de no sujeción, al establecerse que no tendrán la consideración de rendimientos del trabajo en especie:
- Las cantidades destinadas a la actualización, capacitación o reciclaje del personal empleado, cuando vengan exigidos por el desarrollo de sus actividades o las características de los puestos de trabajo.
- Las primas o cuotas satisfechas por la empresa en virtud de contrato de seguro de accidente laboral o de responsabilidad civil del trabajador.
Pasan por el contrario a configurarse expresamente como supuestos de exención:
- La entrega a los trabajadores de productos a precios rebajados que se realicen en cantinas o comedores de empresa o economatos de carácter social.
- La utilización de bienes destinados a servicios sociales y culturales del personal empleado (guarderías, instalaciones deportivas, clubes sociales, etc.).
- Las primas o cuotas satisfechas a entidades aseguradoras para la cobertura de enfermedad del trabajador, su cónyuge o descendientes.
- La prestación del servicio de educación preescolar, infantil, primaria, secundaria obligatoria, bachillerato y formación profesional, por centros educativos autorizados, a los hijos de empleados.
- Las cantidades satisfechas a las entidades encargadas de prestar el servicio público de transporte colectivo de viajeros para favorecer el desplazamiento de los empleados entre su lugar de residencia y el centro de trabajo, con el límite de 1.500 euros anuales para cada trabajador.
- Entrega a los trabajadores en activo, de forma gratuita o por precio inferior al normal de mercado, de acciones o participaciones de la propia empresa o de otras empresas del grupo de sociedades, en la parte que no exceda, para el conjunto de las entregadas a cada trabajador, de 12.000 euros anuales. Con carácter novedoso se exige, para que opere esta exención, que la oferta se realice en las mismas condiciones para todos los trabajadores de la empresa, grupo o subgrupos de empresa.
B) Reglas de valoración de las retribuciones en especie
Se modifican las letras a), b) y f) del número 1º del apartado 1 del artículo 43 de la Ley del IRPF para introducir los siguientes matices en las reglas de valoración de los rendimientos del trabajo personal en especie:
- En cuanto a la valoración de la retribución en especie consistente en la utilización gratuita por el trabajador de una vivienda propiedad del empleador, se establece que el porcentaje reducido del 5% resultará de aplicación únicamente cuando se trate de inmuebles localizados en municipios en los que los valores catastrales hayan sido revisados con efectos del propio período impositivo o de los diez años anteriores. Con anterioridad a la reforma se hablaba de valores catastrales revisados con entrada en vigor a partir de 1 de enero de 1994.
- El precio, contraprestación o valor de adquisición.
- El valor comprobado por la Administración a efectos de otros tributos.
- En cuanto a la valoración de la retribución en especie consistente en la utilización de vehículos automóviles, se establece una reducción de su importe de hasta en un 30% para los vehículos considerados eficientes energéticamente en los términos y condiciones que se determinen reglamentariamente. La citada reducción resulta aplicable exclusivamente para el supuesto de cesión de uso, en ningún caso para los supuestos de entrega.
- Entender que en estos casos, para la valoración de la retribución en especie por la cesión de uso, resulta aplicable la reducción, mientras que no resultará de aplicación para la valoración de la posterior entrega.
- Entender que para estos supuestos de cesión de uso y posterior entrega, no aplicará en ningún caso la reducción, criterio que es el que parece desprenderse de la literalidad y estructura del precepto.
Por otro lado, para los supuestos en los que a la fecha de devengo del impuesto los inmuebles carecieran de valor catastral o este no hubiera sido notificado al titular, la retribución en especie se cuantifica en el 5% del 50% del mayor de los dos siguientes valores:
Hasta ahora, la base computable para la citada cuantificación se articulaba por remisión al valor prevalente a efectos del Impuesto sobre el Patrimonio, sin que ello implique cambios en la cuantía de la retribución en especie resultante.
Se plantea la duda de cómo proceder en los supuestos de uso y posterior entrega de vehículos considerados eficientes energéticamente:
Habremos de estar a lo que al respecto se establezca en el preceptivo desarrollo reglamentario de la norma o a la doctrina de la DGT.
5.3. Reducción por irregularidad. Regímenes transitorios
5.3.1. Modificaciones introducidas en las reglas de aplicación de la reducción por irregularidad sobre los rendimientos íntegros del trabajo personal.
Se modifican los apartados 2 y 3 del artículo 18 de la Ley del IRPF, al objeto de introducir los siguientes cambios en relación con la reducción por irregularidad aplicable sobre los rendimientos íntegros del trabajo personal con período de generación superior a dos años o que se califican reglamentariamente como obtenidos de forma notoriamente irregular en el tiempo:
- El coeficiente reductor por irregularidad se establece en el 30%, frente al 40% aplicable con anterioridad a la reforma, que además sólo resultará de aplicación cuando los rendimientos irregulares, ya se trate de rendimientos generados en más de dos años o de rendimientos calificados reglamentariamente como obtenidos de forma notoriamente irregular en el tiempo, se imputen en un único período impositivo. Hasta ahora, esta limitación sólo resultaba de aplicación en relación con los rendimientos calificados reglamentariamente como obtenidos de forma notoriamente irregular en el tiempo.
- No se aplicará reducción por irregularidad en relación con los rendimientos del trabajo personal que tengan un período de generación superior a dos años cuando, en el plazo de los cinco períodos impositivos anteriores a aquel en el que resulten exigibles, se hubieran obtenido otros rendimientos del trabajo con período de generación superior a dos años sobre los que se hubiera aplicado reducción por irregularidad, independientemente de su cuantía y naturaleza.
Esto no obstante, tratándose de rendimientos irregulares del trabajo personal derivados de la extinción de una relación laboral, común o especial, que se perciban de forma fraccionada imputándose a más de un período impositivo, se excepciona la aplicación de las citadas restricciones en relación con la reducción por irregularidad, en los siguientes términos:
- Deberá tenerse en cuenta el número de años de fraccionamiento, de acuerdo con lo que reglamentariamente se establezca. Habremos de estar por lo tanto a lo que reglamentariamente se determine sobre la aplicación del coeficiente reductor del 30% en relación con estos rendimientos irregulares derivados de la extinción de una relación laboral (nunca mercantil), común o especial, que se perciban de forma fraccionada con imputación a más de un período impositivo.
- No resultará de aplicación la limitación que impide la aplicación de la reducción por irregularidad cuando, en el plazo de los cinco períodos impositivos anteriores a aquél en el que resulten exigibles, se hubieran obtenido otros rendimientos del trabajo con período de generación superior a dos años sobre los que se hubiera aplicado reducción por irregularidad.
Por último, se suprime el límite específico aplicable como base máxima de reducción en relación con los rendimientos del trabajo irregulares derivados del ejercicio de la opción de compra sobre acciones o participaciones hasta ahora en vigor, quedando sometidos únicamente al límite general de 300.000 euros anuales de base máxima de reducción.
5.3.2. Regímenes transitorios
Se articula un extenso y complejo régimen transitorio para posponer el momento temporal y atenuar el impacto cuantitativo de las modificaciones de carácter restrictivo introducidas en relación con la reducción por irregularidad aplicable sobre los rendimientos íntegros del trabajo personal con período de generación superior a dos años o que se entiendan obtenidos de forma notoriamente irregular en el tiempo, que se acaban de comentar.
Al propio tiempo se modifica el régimen transitorio actualmente vigente en relación con la reducción por irregularidad aplicable en materia de prestaciones derivadas de instrumentos de previsión social, para establecer un límite temporal a su aplicación.
5.3.2.1. Régimen transitorio de aplicación de las nuevas restricciones introducidas en materia reducción por irregularidad de los rendimientos íntegros del trabajo personal.
Se modifica la disposición transitoria vigésima quinta de la Ley del IRPF, al objeto de establecer el siguiente régimen transitorio:
- El límite específico aplicable a las indemnizaciones por despido o cese de “cuantía relevante” derivadas de la extinción de una relación laboral o mercantil para determinar el importe susceptible de reducción por irregularidad, introducido con efectos a partir de 1 de enero de 2013 de tal manera que:
- Si la cuantía de la indemnización no exenta está comprendida entre 700.000,01 euros y 1.000.000 de euros, la reducción se aplicará sobre la cantidad que resulte de minorar 300.000 euros en la diferencia que medie entre la cuantía de la indemnización no exenta y 700.000 euros,
- Si la cuantía de la indemnización no exenta fuera igual o superior a 1.000.000 de euros, no resultará de aplicación reducción por irregularidad.
- Los rendimientos irregulares del trabajo personal procedentes de indemnizaciones por la extinción de la relación mercantil (administradores y miembros de Consejos de Administración), que se cobren de forma fraccionada y se imputen a más de un período impositivo, cuando la fecha de extinción de la relación mercantil sea anterior a 1 de agosto de 2014, podrán ser objeto de reducción por irregularidad aplicando un coeficiente reductor del 30% cuando el cociente resultante de dividir el número de años de generación entre el número de períodos impositivos de fraccionamiento sea superior a dos.
- El resto de rendimientos irregulares del trabajo personal, distintos de las indemnizaciones por extinción de la relación laboral, común o especial, o mercantil, que se vinieran percibiendo de forma fraccionada con anterioridad a 1 de enero de 2015, con imputación a más de un período impositivo, podrán seguir disfrutando de la reducción por irregularidad a partir de 2015, aplicando un coeficiente reductor del 30%, siempre que el cociente resultante de dividir el número de años de generación entre el número de períodos impositivos de fraccionamiento sea superior a dos.
Cuando se trate de prestaciones por compromisos adquiridos con anterioridad a 1 de enero de 2015, a percibir a partir de dicha fecha de forma fraccionada con imputación a más de un período impositivo, si se acuerda la sustitución de la forma de percepción inicialmente prevista por su cobro en un único período impositivo, no se verá alterada la fecha de inicio del período de generación del rendimiento a considerar como consecuencia del nuevo negocio jurídico suscrito. - Cuando se trate de rendimientos irregulares del trabajo personal que deriven del ejercicio de opciones de compra sobre acciones o participaciones por los trabajadores, que hubieran sido concedidas con anterioridad a 1 de enero de 2015 y se ejerciten transcurridos más de dos años desde su concesión, cuando, además, no se hubieran concedido anualmente, podrán aplicar la reducción por irregularidad aun cuando en el plazo de los cinco períodos impositivos anteriores a aquel en el que se ejerciten se hubieran obtenido otros rendimientos con período de generación superior a dos años a los que se hubiera aplicado reducción por irregularidad.
En este caso, resultará de aplicación el límite de reducción específico previsto para los rendimientos del trabajo irregulares derivados del ejercicio de la opción de compra sobre acciones o participaciones, vigente a 31 de diciembre de 2014, en relación con los rendimientos del trabajo derivados de todas las opciones de compra concedidas con anterioridad a 1 de enero de 2015.
Asimismo no se aplicará a los rendimientos del trabajo que deriven de extinciones producidas con anterioridad a 1 de enero de 2013.
Al parecer, lo que se pretende es mantener, a partir de 1 de enero de 2015, la aplicación de la disposición transitoria vigésima quinta de la Ley del IRPF, según su redacción anterior a la Ley 26/2014, de 27 de noviembre. Sin embargo la redacción del apartado 1 de citada disposición transitoria vigésima quinta de la Ley del IRPF, operada por la Ley 26/2014, no es muy afortunada y de su literal pudiera desprenderse que, a partir de dicha fecha, tampoco aplica el límite general de 300.000 euros como base máxima para la reducción por irregularidad en relación con estos rendimientos con período de generación superior a dos años. Por otro lado de general aplicación en relación con toda clase (con período de generación superior a dos años o que se califican reglamentariamente como obtenidos de forma notoriamente irregular en el tiempo) y naturaleza (del trabajo, del capital mobiliario e inmobiliario y de actividades económicas) de rendimientos irregulares.
5.3.2.2. Régimen transitorio en materia de reducción por irregularidad aplicable sobre las prestaciones derivadas de instrumentos de previsión social
En relación con el régimen transitorio vigente con anterioridad a la reforma sobre la reducción por irregularidad aplicable en materia de prestaciones derivadas de instrumentos de previsión social, se introduce una doble modificación normativa:
- Se añade un nuevo apartado 3 a la disposición transitoria undécima de la Ley del IRPF, para acotar temporalmente el régimen transitorio aplicable a las prestaciones derivadas de seguros colectivos que instrumentan compromisos por pensiones contratados con anterioridad al 20 de enero de 2006.
- Se añade un nuevo apartado 4 a la disposición transitoria duodécima de la Ley del IRPF para acotar temporalmente el régimen transitorio aplicable a las prestaciones derivadas de planes de pensiones, mutualidades de previsión social y planes de previsión asegurados, en la parte correspondiente a aportaciones realizadas hasta 31 de diciembre de 2006, que se perciban en forma de capital.
A este respecto, recordemos que, como consecuencia del trascendental cambio que supuso la exclusión de estas prestaciones percibidas en forma de capital de la reducción por irregularidad (hasta la reforma operada por la Ley 35/2006 sí eran susceptibles de reducción por irregularidad), las citadas disposiciones transitorias undécima y duodécima de la Ley del IRPF articularon un régimen transitorio que ha permitido mantener la reducción por irregularidad en relación con los derechos consolidados a 31 de diciembre de 2006.
En concreto, el apartado 1 de las citadas disposiciones transitorias establece que los beneficiarios concernidos podrán seguir aplicandolos regímenes financiero y fiscal vigentes a 31 de diciembre de 2006 y, por consiguiente, la reducción por irregularidad tal y como resultaba operativa a dicha fecha, obviamente en relación con las prestaciones correspondientes a primas satisfechas o aportaciones realizadas hasta el 31 de diciembre de 2006. Pues bien, este régimen transitorio queda acotado en cuanto a su ámbito temporal de aplicación en los siguientes términos:
- En el caso de contingencias acaecidas a partir de 1 de enero de 2015, el coeficiente reductor del 40% únicamente podrá ser aplicado, en su caso, en relación con las prestaciones percibidas en el ejercicio en el que acaezca la contingencia determinante de la prestación y en los dos ejercicios siguientes.
- En el caso de contingencias acaecidas antes de 1 de enero de 2015 habremos de diferenciar dos momentos temporales:
- Para contingencias acaecidas en los ejercicios 2011 a 2014, únicamente podrá ser aplicado, en su caso, a las prestaciones percibidas hasta la finalización del octavo ejercicio siguiente a aquel en el que acaeció la contingencia determinante de la prestación. Por ejemplo, si un contribuyente se jubiló en 2012, podrá aplicar la reducción por irregularidad del 40% hasta 2020 inclusive.
- Para contingencias acaecidas en los ejercicios 2010 o anteriores, el coeficiente reductor del 40% únicamente podrá ser aplicado, en su caso, a las prestaciones percibidas hasta el 31 de diciembre de 2018.
5.4. Gastos deducibles
Se modifica el apartado 2 del artículo 19 de la Ley del IRPF, para admitir una nueva partida de gasto fiscalmente deducible de los rendimientos íntegros del trabajo personal, en concepto de “otros gastos”, por un importe estimado de 2.000 euros anuales.
Esta partida de gasto estimado fiscalmente deducible en concepto de “otros gastos”, que no precisa de ningún tipo de justificación, puede verse incrementada en dos supuestos tasados:
- Cuando se trate de contribuyentes desempleados, inscritos en la oficina de empleo, que acepten un puesto de trabajo que exija el traslado de su residencia habitual a un municipio distinto del actual. En este caso, la cuantía del gasto estimado fiscalmente deducible en concepto de “otros gastos” se incrementa, en el período impositivo en el que se produzca el cambio de residencia y en el inmediato siguiente, hasta los 4.000 euros anuales.
- Cuando se trate de trabajadores activos con discapacidad, la cuantía del gasto estimado fiscalmente deducible en concepto de “otros gastos” se incrementa:
- Con carácter general, hasta los 5.500 euros anuales.
- Para los trabajadores activos discapacitados que acrediten necesitar ayuda de terceras personas o movilidad reducida o un grado de minusvalía igual o superior al 65%, hasta los 9.750 euros anuales.
Ahora bien, la aplicación de este gasto estimado fiscalmente deducible en concepto de “otros gastos” no puede determinar un rendimiento neto del trabajo personal negativo, toda vez que su cuantía está limitada al importe del rendimiento íntegro minorado en el resto de gastos admitidos fiscalmente por el propio artículo 19.2 de la Ley del IRPF.
5.5. Reducciones del rendimiento neto
Se modifica el artículo 20 de la Ley del IRPF, para limitar el ámbito de aplicación de la reducción por obtención de rendimientos del trabajo, que sólo resultará operativa para contribuyentes con rendimientos netos del trabajo personal inferiores a 14.450 euros, siempre que además no obtengan otras rentas no exentas distintas de las del trabajo superiores a 6.500 euros, en los siguientes términos:
- Contribuyentes con rendimientos netos del trabajo iguales o inferiores a 11.250 euros: aplicarán una reducción de 3.700 euros anuales.
- Contribuyentes con rendimientos netos del trabajo comprendidos entre 11.250 y 14.450 euros: aplicarán una reducción de cuantía anual igual a 3.700 euros menos el resultado de multiplicar por 1,15625 la diferencia entre el rendimiento neto del trabajo y 11.250 euros.
Destacar que se establecen dos precisiones en relación con la aplicación de esta reducción por obtención de rendimientos del trabajo personal:
- El rendimiento neto a considerar para establecer la procedencia e importe de la reducción será el que resulte antes de deducir la nueva partida de gastos estimados fiscalmente deducibles en concepto de “otros gastos”, en su cuantía básica de 2.000 euros, o incrementada de 4.000 euros (por movilidad geográfica) o de 5.500/9.750 euros (por discapacidad de trabajadores activos).
- Como consecuencia de la aplicación de esta reducción no podrá resultar un rendimiento neto reducido del trabajo personal negativo.
En cuanto a la reducción por obtención de rendimientos del trabajo personal aplicable con anterioridad a la reforma, operativa con carácter general en su modulación básica (con cuantías entre los 2.652 euros y los 4.080 euros) o incrementada (por prolongación de la vida laboral, por movilidad geográfica y por discapacidad de trabajadores activos), constatar que pierde su carácter de reducción general en los términos anteriormente comentados y que resultan suprimidas las reducciones incrementadas, si bien, como se ha señalado, las contingencias de movilidad geográfica y discapacidad de trabajadores activos se tienen en cuenta a efectos de incrementar la partida estimada de gastos fiscalmente deducibles en concepto de “otros gastos”.
Por último, comentar que se establece una norma de régimen transitorio en relación con los contribuyentes que hubieran tenido derecho a aplicar en 2014 la reducción incrementada por movilidad geográfica (desempleados inscritos en la oficina de empleo que hubieran aceptado en 2014 un puesto de trabajo en otro municipio distinto al de su residencia habitual, con traslado de esta), que podrán aplicar en 2015 la citada reducción conforme a la normativa vigente a 31 de diciembre de 2014 (disposición transitoria sexta de la Ley del IRPF).
6. Rendimientos del capital inmobiliario [subir]
6.1. Reducción del rendimiento neto procedente del arrendamiento de bienes inmuebles destinados a vivienda
Se modifica el apartado 2 del artículo 23 de la Ley del IRPF para:
- Establecer que la reducción del 60% del rendimiento neto procedente del arrendamiento de bienes inmuebles destinados a vivienda se aplicará exclusivamente sobre el rendimiento neto positivo declarado. Hasta la reforma esta reducción se aplicaba tanto sobre los rendimientos netos positivos declarados como sobre los negativos.
- Suprimir la reducción de hasta el 100% del rendimiento neto derivado del arrendamiento de bienes inmuebles destinados a vivienda, aplicable cuando concurrían los dos requisitos siguientes:
- Que el arrendatario tuviera una edad comprendida entre los 18 y los 30 años.
- Que el arrendatario hubiera obtenido en el período impositivo unos rendimientos netos del trabajo o de actividades económicas superiores al IPREM.
6.2. Reducción por irregularidad. Régimen transitorio
Se da nueva redacción al apartado 3 del artículo 23 de la Ley del IRPF, al objeto de introducir las siguientes modificaciones en relación con la reducción por irregularidad aplicable sobre los rendimientos del capital inmobiliario con período de generación superior a dos años o que se califican reglamentariamente como obtenidos de forma notoriamente irregular en el tiempo:
- El coeficiente reductor por irregularidad se establece en el 30%, frente al 40% aplicable con anterioridad a la reforma, que además sólo resultará de aplicación cuando los rendimientos irregulares, ya se trate de rendimientos generados en más de dos años o de rendimientos calificados reglamentariamente como obtenidos de forma notoriamente irregular en el tiempo, se imputen en un único período impositivo.
- Se establece un límite para la cuantía base sobre la que aplicar el nuevo coeficiente reductor atenuado del 30%, que no podrá resultar superior a los 300.000 euros anuales.
Consecuentemente, se articula un régimen transitorio (disposición transitoria vigésima quinta de la Ley del IRPF) para atenuar el impacto cuantitativo de las modificaciones de carácter restrictivo introducidas en relación con la reducción por irregularidad aplicable sobre los rendimientos del capital inmobiliario que se acaban de comentar, tal como sigue:
- Los rendimientos irregulares del capital inmobiliario que se vinieran percibiendo de forma fraccionada con anterioridad a 1 de enero de 2015 con imputación a más de un período impositivo, podrán seguir disfrutando de la reducción por irregularidad a partir de 2015, aplicando en su caso el coeficiente reductor del 30%, siempre que el cociente resultante de dividir el número de años de generación entre el número de períodos impositivos de fraccionamiento sea superior a dos.
- Cuando se trate de rendimientos irregulares del capital inmobiliario derivados de compromisos adquiridos con anterioridad a 1 de enero de 2015, a percibir a partir de dicha fecha de forma fraccionada con imputación a más de un período impositivo, si se acuerda la sustitución de la forma de percepción inicialmente prevista por su cobro en un único período impositivo, no se verá alterada la fecha de inicio del período de generación del rendimiento a considerar como consecuencia del nuevo negocio jurídico suscrito.
7. Rendimientos del capital mobiliario [subir]
7.1. Supuestos que no tienen la consideración de rendimientos del capital mobiliario
Se modifica el apartado 6 del artículo 25 de la Ley del IRPF, para establecer, en relación con el supuesto de no sujeción que hace referencia a los rendimientos derivados de la transmisión lucrativa por causa de fallecimiento del contribuyente de activos representativos de la captación o utilización de capitales ajenos, que no podrán computarse los rendimientos del capital mobiliario negativos derivados de la transmisión lucrativa por actos “intervivos” de los citados activos.
Se trata de una medida cautelar, que pretende evitar la elusión de la no sujeción, cuando la transmisión lucrativa por causa de fallecimiento se prevea que va a determinar un rendimiento negativo del capital mobiliario, mediante el mecanismo de anticipar la citada transmisión de los activos con pérdidas al momento del fallecimiento, articulándola como una transmisión lucrativa “intervivos”, encadenada con la posterior transmisión “mortis causa” de aquellos otros que arrojasen un resultado positivo susceptible de exención.
7.2. Distribución de la prima de emisión de acciones o participaciones y reducciones de capital con devolución de aportaciones a los socios
Las rentas derivadas tanto del reparto de la prima de emisión de acciones o participaciones como de las operaciones de reducción de capital con devolución de aportaciones a los socios que no procedan de beneficios no distribuidos se califican, a efectos del IRPF, como rendimientos del capital mobiliario derivados de la participación en fondos propios de entidades.
Ahora bien, únicamente se entiende obtenida una renta cuando el importe obtenido por la distribución de la prima de emisión de acciones o participaciones o de la reducción de capital con devolución de aportaciones que no proceda de beneficios no distribuidos supere el valor de adquisición de las acciones o participaciones correspondientes. Esto era así con anterioridad a la reforma ya se tratara de entidades cotizadas en mercados regulados de valores como de entidades no cotizadas.
Pues bien, se modifican la letra e) del apartado 1 del artículo 25 y la letra a) del apartado 3 del artículo 33 de la Ley del IRPF, para establecer que, cuando se trate de la distribución de la prima de emisión de acciones o participaciones o de la reducción de capital con devolución de aportaciones que no proceda de beneficios no distribuidos, procedentes de entidades no cotizadas en mercados regulados de valores definidos en la Directiva 2004/39/CE del Parlamento Europeo y del Consejo, de 21 de abril de 2004, se tributará como rendimiento del capital mobiliario por la parte que se corresponda con reservas generadas durante el período de tenencia de la participación, el exceso de la distribución de la prima de emisión o de la reducción de capital devuelta minorará el coste de adquisición de la cartera.
7.2.1. Distribución de la prima de emisión correspondiente a valores no cotizados
En el supuesto de distribución de la prima de emisión correspondiente a valores no cotizados, cuando la diferencia entre el valor de los fondos propios de la entidad participada correspondientes al último ejercicio cerrado con anterioridad a la fecha de distribución de la prima, proporcionalmente correspondientes a las acciones o participaciones detentadas, y su valor de adquisición sea positiva, se considerará rendimiento del capital mobiliario el importe obtenido o el valor normal de mercado de los bienes o derechos recibidos, con el límite de dicha diferencia positiva. El exceso sobre este límite minorará el valor de adquisición de las acciones o participaciones.
A tales efectos, el valor de los fondos propios, a computar proporcionalmente a las acciones o participaciones detentadas, se minorará:
- En el importe de los beneficios repartidos con cargo a reservas con anterioridad a la fecha de distribución de la prima de emisión.
- En el importe de las reservas legalmente indisponibles que se hubieran generado con posterioridad a la adquisición de las acciones o participaciones.
Ahora bien, para evitar que se produzcan situaciones de doble imposición, se establece que, cuando con posterioridad al reparto de la prima de emisión de acciones o participaciones que hubiera determinado la tributación de rendimientos del capital mobiliario en los términos señalados, se perciban dividendos o participaciones en beneficios procedentes de las mismas acciones o participaciones, el importe de los dividendos percibidos minorará también el valor de adquisición de las acciones o participaciones, con el límite del importe de la prima percibida computada previamente como rendimiento del capital mobiliario.
7.2.2. Reducciones de capital con devolución de aportaciones correspondientes a valores no cotizados
En el supuesto reducciones de capital con devolución de aportaciones que no proceda de beneficios no distribuidos correspondientes a valores no cotizados, cuando la diferencia entre el valor de los fondos propios de la entidad participada correspondientes al último ejercicio cerrado con anterioridad a la fecha de reducción de capital, proporcionalmente correspondiente a las acciones o participaciones detentadas, y su valor de adquisición sea positiva, se considerará rendimiento del capital mobiliario el importe obtenido o el valor normal de mercado de los bienes o derechos recibidos, con el límite de dicha diferencia positiva. El exceso sobre este límite minorará el valor de adquisición de las acciones o participaciones.
A tales efectos, el valor de los fondos propios, a computar proporcionalmente a las acciones o participaciones detentadas, se minorará:
- En el importe de los beneficios repartidos con cargo a reservas con anterioridad a la fecha de reducción de capital.
- En el importe de las reservas legalmente indisponibles que se hubieran generado con posterioridad a la adquisición de las acciones o participaciones.
Ahora bien, para evitar que se produzcan situaciones de doble imposición, se establece que, cuando con posterioridad a la reducción de capital con devolución de aportaciones que hubiera determinado la tributación de rendimientos del capital mobiliario en los términos señalados, se perciban dividendos o participaciones en beneficios procedentes de las mismas acciones o participaciones, el importe de los dividendos percibidos minorará también el valor de adquisición de las acciones o participaciones, con el límite del importe de la devolución percibida computada previamente como rendimiento del capital mobiliario.
7.3. Seguros de capital diferido
Se modifica el número 1º de la letra a) del apartado 3 del artículo 25 de la Ley del IRPF, para introducir una corrección técnica en relación con el cálculo de los rendimientos del capital mobiliario derivados del cobro de prestaciones en forma de capital, procedentes de contratos de seguros de vida individuales, de naturaleza mixta al cubrir tanto la contingencia de supervivencia como la de fallecimiento o incapacidad, cuando el capital diferido percibido corresponde a la contingencia de supervivencia.
En tales casos, además de en el importe de las primas satisfechas correspondiente a la contingencia de supervivencia, se podrá minorar también el capital diferido percibido en la parte de las primas satisfechas que corresponda al capital en riesgo por fallecimiento o incapacidad que se haya consumido hasta ese momento. Siempre que, durante toda la vigencia del contrato de seguro, el capital en riesgo, que vendrá dado por la diferencia entre el capital asegurado por fallecimiento o incapacidad y la provisión matemática, sea igual o inferior al 5 por 100 de esta.
Esta modificación normativa viene a dar cobertura legal a la jurisprudencia del Tribunal Supremo sentada en dos sentencias de 22 de noviembre de 2011, que resuelven sendos recursos de casación interpuestos por una compañía de seguros, en los que la cuestión de fondo planteada se refería a la determinación de la base para practicar los pagos a cuenta correspondientes sobre los rendimientos del capital mobiliario derivados del pago de prestaciones de supervivencia en seguros de vida mixtos a primer riesgo, esto es, aquéllos que pueden dar lugar a una prestación por supervivencia, si el asegurado llega a cumplir una determinada edad, o de fallecimiento, si este se produce con anterioridad.
Con la normativa vigente hasta 2014, el rendimiento del capital mobiliario derivado de la percepción de capitales diferidos de supervivencia, procedentes de contratos de seguros de vida individuales con cobertura mixta de las contingencias de supervivencia y fallecimiento o invalidez, venía determinado, en todo caso, por la diferencia entre el capital percibido el importe de la totalidad de la prima o primas satisfechas. Con la modificación comentada, a partir de 1 de enero de 2015 el capital diferido percibido por la contingencia de supervivencia se podrá minorar en los siguientes importes:
- La parte de la prima o primas satisfechas correspondiente a la cobertura de la contingencia de supervivencia.
- La parte de la prima o primas satisfechas correspondiente a la cobertura de las contingencias de fallecimiento o invalidez que se haya consumido hasta la fecha de acaecimiento de la contingencia de supervivencia, siempre que durante toda la vigencia del contrato el capital en riesgo sea igual o inferior al 5 por 100 de la provisión matemática.
7.4. Rendimientos derivados de seguros cuyo beneficiario es el acreedor hipotecario
Se modifica la disposición adicional cuadragésima de la Ley del IRPF, para establecer que los rendimientos derivados de la prestación por la contingencia de incapacidad cubierta en un seguro, cuando sea percibida por el acreedor hipotecario del contribuyente (que deberá ser una entidad de crédito) como beneficiario del mismo, con obligación de amortizar total o parcialmente la deuda hipotecaria del contribuyente, tendrán el mismo tratamiento que el que le hubiera correspondido de ser beneficiario el propio contribuyente.
Este tipo de contratos de seguro suelen concertarse por parte de aquellos contribuyentes que asumen la condición de prestatarios en operaciones de endeudamiento para la adquisición de inmuebles con garantía hipotecaria, en los que la condición de tomador y asegurado para caso de fallecimiento o invalidez recae en el prestatario y la condición de beneficiario recae en una entidad de crédito. De tal manera que, acaecida la contingencia, la compañía de seguros indemniza a la entidad de crédito con la finalidad de cancelar, total o parcialmente, las deudas del tomador-asegurado a la fecha de su fallecimiento o invalidez.
A estos efectos, viene siendo doctrina reiterada de la DGT (consultas V0719-13, de 7 de marzo y V2833-13, de 26 de septiembre, entre otras) considerar que la indemnización satisfecha por la compañía de seguros a la entidad de crédito, en cuanto que beneficiaria del contrato de seguro para la contingencia de invalidez del tomador-asegurado, implica la cancelación del préstamo hipotecario quedando este liberado de sus deudas y poniéndosele de manifiesto una renta como consecuencia de dicha cancelación. Renta que la DGT califica como ganancia patrimonial, al poner de manifiesto una alteración positiva en la composición del patrimonio, que debe de integrarse en la base imponible general al no derivarse de una transmisión de elementos patrimoniales.
Pues bien, el efecto de esta reforma es sujetar al IRPF como rendimientos del capital mobiliario, en sede del prestatario, las prestaciones por la contingencia de incapacidad derivadas de estos contratos de seguro en los que el contratante es una persona física y el beneficiario cierto una entidad financiera, acreedor hipotecario del contribuyente. Rendimientos del capital mobiliario que se declaran expresamente exonerados de la obligación de retener.
7.5. Reducción por irregularidad. Régimen transitorio
Se da nueva redacción al apartado 2 del artículo 26 de la Ley del IRPF, al objeto de introducir las siguientes modificaciones en relación con la reducción por irregularidad aplicable sobre los rendimientos del capital mobiliario con período de generación superior a dos años o que se califican reglamentariamente como obtenidos de forma notoriamente irregular en el tiempo:
- El coeficiente reductor por irregularidad se establece en el 30%, frente al 40% aplicable con anterioridad a la reforma, que además sólo resultará de aplicación cuando los rendimientos irregulares, ya se trate de rendimientos generados en más de dos años o de rendimientos calificados reglamentariamente como obtenidos de forma notoriamente irregular en el tiempo, se imputen a un único período impositivo.
- Se establece un límite para la cuantía base sobre la que aplicar el nuevo coeficiente reductor atenuado del 30%, que no podrá resultar superior a los 300.000 euros anuales.
Consecuentemente, se articula un régimen transitorio (disposición transitoria vigésima quinta de la Ley del IRPF) para atenuar el impacto cuantitativo de las modificaciones de carácter restrictivo introducidas en relación con la reducción por irregularidad aplicable sobre los rendimientos del capital mobiliario que se acaban de comentar, tal como sigue:
- Los rendimientos irregulares del capital mobiliario que se vinieran percibiendo de forma fraccionada con anterioridad a 1 de enero de 2015 con imputación a más de un período impositivo, podrán seguir disfrutando de la reducción por irregularidad a partir de 2015, aplicando en su caso el coeficiente reductor del 30%, siempre que el cociente resultante de dividir el número de años de generación entre el número de períodos impositivos de fraccionamiento sea superior a dos.
- Cuando se trate de rendimientos irregulares del capital mobiliario derivados de compromisos adquiridos con anterioridad a 1 de enero de 2015, a percibir a partir de dicha fecha de forma fraccionada con imputación a más de un período impositivo, si se acuerda la sustitución de la forma de percepción inicialmente prevista por su cobro en un único período impositivo, no se verá alterada la fecha de inicio del período de generación del rendimiento a considerar como consecuencia del nuevo negocio jurídico suscrito.
7.6. Régimen transitorio de los contratos de seguro de vida generadores de incrementos o disminuciones de patrimonio con anterioridad a 1 de enero de 1999
Se modifica la disposición transitoria cuarta de la Ley del IRPF, que regula la reducción por abatimiento aplicable en el régimen transitorio cuando se perciben capitales diferidos de seguros de vida, generadores con anterioridad a 1 de enero de 1999 de incrementos o disminuciones de patrimonio, en relación con la prestación correspondiente a primas satisfechas con anterioridad a 31 de diciembre de 1994 en cuanto al rendimiento que se estime generado con anterioridad a 20 de enero de 2006, para establecer un límite cuantitativo, cifrado en 400.000 euros, al importe del capital diferido percibido a partir de 1 de enero de 2015 en relación con el cual va a resultar de aplicación la citada reducción en el régimen transitorio. Cuya mecánica de aplicación queda como sigue:
- En primer lugar, determinaremos la parte del rendimiento neto total que corresponde a cada prima satisfecha con anterioridad a 31 de diciembre de 1994, multiplicando el rendimiento neto total por el coeficiente de ponderación que resulte del siguiente cociente:
- En el numerador, el resultado de multiplicar la prima correspondiente por el número de años transcurridos desde que fue satisfecha hasta el cobro de la prestación.
- En el denominador, el sumatorio de los productos resultantes de multiplicar todas y cada una de las primas por el número de años transcurridos desde que fueron satisfechas hasta el cobro de la prestación.
- En segundo lugar, para cada una de las partes del rendimiento neto total que corresponde a cada prima satisfecha con anterioridad a 31 de diciembre de 1994, se determinará la porción que se entiende generada con anterioridad a 20 de enero de 2006, aplicando al efecto el coeficiente de ponderación que resulte del siguiente cociente:
- En el numerador, el tiempo transcurrido entre el pago de la prima y el 20 de enero de 2006.
- En el denominador, el tiempo transcurrido entre el pago de la prima y la fecha de cobro de la prestación.
- En tercer lugar, en lo que constituye la parte novedosa de la reforma, se establece un límite cuantitativo al importe del rendimiento neto susceptible de reducción por abatimiento, que será la parte proporcional del mismo correspondiente a los primeros 400.000 euros percibidos a partir de 1 de enero de 2015 en concepto de capitales diferidos derivados de seguros de vida susceptibles de reducción, esto es, aquellos que con anterioridad a 1 de enero de 1999 generaban incrementos o disminuciones de patrimonio, tal como sigue:
- A efectos del límite de 400.000 euros solamente se tomará en consideración el capital diferido correspondiente al rescate anticipado o al vencimiento de aquellos seguros de vida que con anterioridad a 1 de enero de 1999 generaban incrementos o disminuciones de patrimonio.
- Se tomarán en consideración las operaciones de rescate realizadas a partir de 1 de enero de 2015, con límite temporal indefinido hasta completar el límite cuantitativo de 400.000 euros de capital diferido percibido.
- Se atenderá con carácter prelativo al momento de la imputación temporal del capital diferido, esto es, a la fecha de rescate anticipado o al vencimiento del seguro.
- Por último, cada una de las partes del rendimiento neto total, o la parte proporcional correspondiente por aplicación del límite cuantitativo de 400.000 euros, derivadas de primas satisfechas antes del 31 de diciembre de 1994, en la cuantía que se entienda generada con anterioridad a 20 de enero de 2006, se reducirá a razón de un 14,28% por cada año transcurrido entre el pago de la correspondiente prima y el 31 de diciembre de 1994, redondeando por exceso. Extremo este del redondeo que no se explicita en la norma, sino que se reconoce indirectamente al establecerse que cuando hubieran transcurrido más de seis años contados de fecha a fecha el coeficiente reductor será del 100%.
Veamos un EJEMPLO:
Ejemplo
Sea un contribuyente que suscribió en 1990 un seguro de vida individual que, según las estipulaciones contractuales, incorporaba los componentes mínimos de riesgo y duración para generar incrementos o disminuciones de patrimonio conforme a la Ley 18/1991, de 6 de junio.
El contribuyente ha realizado dos únicos desembolsos en concepto de primas satisfechas, tal como sigue:
- El 20 de enero de 1990, a la firma del contrato de seguro, abonó una prima de 500.000 euros.
- Cinco años después, el 20 de enero de 1995, abonó una segunda prima de 500.000 euros.
El 20 de enero de 2015, a los 25 años de suscribir el contrato de seguro, el contribuyente según lo estipulado procede al cobro a vencimiento, percibiendo un capital diferido de 1.500.000 euros.
Solución
Calculamos en primer lugar la parte del rendimiento total obtenido que corresponde a cada prima:
- Parte del rendimiento total obtenido correspondiente a la prima satisfecha el 20 de enero de 1990:
(500.000 x 25) |
x (1.500.000 - 1.000.000) =277.777,78 | |
[(500.000 x 25) + (500.000 x 20)] |
- Parte del rendimiento total obtenido correspondiente a la prima satisfecha el 20 de enero de 1995:
(500.000 x 20) |
x (1.500.000 - 1.000.000) =222.222,22 | |
[(500.000 x 25) + (500.000 x 20)] |
En segundo lugar determinamos la cuantía de la parte del rendimiento total obtenido correspondiente a la prima satisfecha el 20 de enero de 1990, 277.777,78 euros, que se entiende generada con anterioridad a 20 de enero de 2006:
16 |
x 277.777,78 = 177.777,78 | |
25 |
En tercer lugar determinamos el importe del rendimiento neto susceptible de reducción por abatimiento que proporcionalmente corresponde a un capital diferido de 400.000 euros frente a los 777.777,78 euros totales percibidos como capital diferido correspondiente a la prima satisfecha en 1994 (500.000 euros de prima satisfecha más 277.777,78 euros de rendimiento incorporado), toda vez que el rendimiento neto correspondiente a la prima satisfecha el 20 de enero de 1995 no es susceptible de reducción por abatimiento:
400.000 x 177.777,78 |
91.428,57 | |
777.777,78 |
Por último determinamos la reducción del rendimiento neto por aplicación del coeficiente de abatimiento del 14,28% por cada año transcurrido entre el 20 de enero de 1990 y el 31 de diciembre de 1994, redondeado por exceso:
Años transcurridos desde 20/01/1990 hasta 31/12/1994 |
≈5años |
Coeficiente reductor (5 x 14,28) |
71,40% |
Importe de la reducción (91.428,57 x 0,7140) |
65.280,00 |
El rendimiento neto del capital mobiliario a integrar en la base imponible del ahorro será:
Capital diferido percibido |
1.500.000,00 |
Primas satisfechas |
-1.000.000,00 |
Diferencia |
500.000,00 |
Reducción por abatimiento régimen transitorio |
-65.280,00 |
Rendimiento neto reducido del capital mobiliario |
434.720,00 |
Con la normativa anterior a la reforma, supuestos los datos del enunciado referidos a 2014, el abatimiento del 71,40% hubiera aplicado sobre 177.777,78 euros determinando una reducción de (177.777,78 x 0,7140) = 126.933,33 euros.
7.8. Supresión de la compensación por percepción de determinados rendimientos del capital mobiliario con período de generación superior a dos años
Se suprime la disposición transitoria decimotercera de la Ley del IRPF, que, previa habilitación que por la Ley de Presupuestos Generales del Estado correspondiente, establecía una compensación fiscal aplicable por los contribuyentes hubieran percibido rendimientos del capital mobiliario:
- Procedentes de capitales diferidos derivados de seguros de vida o invalidez, generadores de rendimientos del capital mobiliario, contratados antes del 20 de enero de 2006.
- Derivados de la cesión a terceros de capitales propios procedentes de instrumentos financieros, contratados con anterioridad a 20 de enero de 2006, con período de generación superior a dos años o calificados reglamentariamente como obtenidos de forma notoriamente irregular en el tiempo.
8. Rendimientos de actividades económicas [subir]
8.1. Calificación como rendimientos de actividades económicas
Se da nueva redacción al artículo 27 de la Ley del IRPF, para modificar la delimitación del concepto de actividad económica en un doble supuesto:
8.1.1. Socios de sociedades profesionales
En relación con los rendimientos obtenidos por servicios prestados por contribuyentes que sean socios de entidades que realicen actividades profesionales, se establece que tendrán la calificación de rendimientos de actividades económicas siempre que el socio-profesional esté dado de alta en el régimen especial de la Seguridad Social de los trabajadores por cuenta propia o autónomos o en una mutualidad de previsión social que actúe como alternativa al citado régimen especial conforme a lo dispuesto en la disposición adicional decimoquinta de la Ley 30/1995, de 8 de noviembre, de ordenación y supervisión de los seguros privados.
A este respecto debemos traer a colación la disposición adicional vigésima séptima del Texto Refundido de Ley General de la Seguridad Social, aprobado por el Real Decreto Legislativo 1/1994, de 20 de junio, cuyo contenido reproducimos:
"Campo de aplicación del Régimen Especial de la Seguridad Social de los trabajadores por cuenta propia o autónomos.
- Estarán obligatoriamente incluidos en el Régimen Especial de la Seguridad Social de los trabajadores por cuenta propia o autónomos quienes ejerzan las funciones de dirección y gerencia que conlleva el desempeño del cargo de consejero o administrador, o presten otros servicios para una sociedad mercantil capitalista, a título lucrativo y de forma habitual, personal y directa, siempre que posean el control efectivo, directo o indirecto, de aquélla. Se entenderá, en todo caso, que se produce tal circunstancia, cuando las acciones o participaciones del trabajador supongan, al menos, la mitad del capital social. Se presumirá, salvo prueba en contrario, que el trabajador posee el control efectivo de la sociedad cuando concurran algunas de las siguientes circunstancias:
- Que, al menos, la mitad del capital de la sociedad para la que preste sus servicios esté distribuido entre socios, con los que conviva, y a quienes se encuentre unido por vínculo conyugal o de parentesco, por consanguinidad, afinidad o adopción, hasta el segundo grado.
- Que su participación en el capital social sea igual o superior a la tercera parte del mismo.
- Que su participación en el capital social sea igual o superior a la cuarta parte del mismo, si tiene atribuidas funciones de dirección y gerencia de la sociedad.
En los supuestos en que no concurran las circunstancias anteriores, la Administración podrá demostrar, por cualquier medio de prueba, que el trabajador dispone del control efectivo de la sociedad.- No estarán comprendidos en el Sistema de la Seguridad Social los socios, sean o no administradores, de sociedades mercantiles capitalistas cuyo objeto social no esté constituido por el ejercicio de actividades empresariales o profesionales, sino por la mera administración del patrimonio de los socios."
Pues bien, con la modificación introducida siempre que el socio-profesional deba figurar de alta en el régimen especial de la Seguridad Social de los trabajadores por cuenta propia o autónomos, o en una mutualidad de previsión social que actúe como alternativa al mismo, procederá la calificación de rendimientos derivados del ejercicio de una actividad económica.
También a este respecto, conviene señalar que ya la DGT (Consultas V1492/2008, de 18 de julio, y V2159/2011, de 20 de septiembre, por ejemplo), al analizar cuál debe ser la calificación de las retribuciones percibidas por los socios de una entidad que, habiendo suscrito con esta un contrato de arrendamiento de servicios, prestan servicios profesionales con carácter exclusivo a la entidad y a sus clientes, venía interpretando “… que en ausencia de las notas de dependencia y ajenidad que, tal y como se han configurado por reiterada jurisprudencia, caracterizan la obtención de rendimientos del trabajo, cabe entender que los socios-profesionales ejercen su actividad ordenando los factores productivos por cuenta propia en el sentido del artículo 27 de la Ley del IRPF y por tanto desarrollan una actividad económica, aunque los medios materiales necesarios para el desarrollo de sus servicios sean proporcionados por la entidad”.
8.1.2. Arrendamiento inmobiliario
En relación con el arrendamiento de bienes inmuebles como actividad económica, se elimina el requisito de tener que disponer de un local exclusivamente destinado a llevar a cabo la gestión de la actividad, manteniéndose únicamente el requisito de contar con una persona empleada con contrato laboral y a jornada completa.
A este respecto conviene recordar que el TEAC, en Resolución de 28 de mayo de 2013, a la vista de recientes y reiteradas sentencias del Tribunal Supremo, entiende, sobre los requisitos actualmente exigidos para que el arrendamiento inmobiliario sea considerado como actividad económica, que la exigencia del doble requisito de “persona y local” debe interpretarse en el sentido de que, de no cumplirse, se reputará que no hay actividad económica. Pero entiende asimismo que se trata de un requisito necesario pero no suficiente, por lo que, aún cumpliéndose, puede entenderse que no hay actividad económica si, por ejemplo, se acredita que la carga de trabajo no justifica tener empleado y local.
8.2. Gastos fiscalmente deducibles en el método de estimación directa
Se modifica el artículo 30 de la Ley del IRPF, con un doble objeto:
- En relación con la consideración como gasto deducible de las cantidades abonadas en virtud de contratos de seguros, concertados con mutualidades de previsión social por profesionales no integrados en el Régimen Especial de Trabajadores Autónomos de la Seguridad Social, se establece un límite que se cifra en el importe de la cuota máxima por contingencias comunes establecida en cada ejercicio económico. Así tenemos que:
- Para períodos impositivos anteriores a 2013 dicho límite de gasto fiscalmente deducible se fija en 4.500 euros anuales.
- Para 2013 y 2014 dicho límite se cifra en el 50% del importe de la cuota máxima por contingencias comunes establecida en cada ejercicio económico.
- A partir de 2015 el límite se cifra en el total importe de la cuota máxima por contingencias comunes establecida en cada ejercicio económico.
- Establecer, en el ámbito de la estimación directa simplificada, un límite en relación con la partida deducible establecida a tanto alzado en concepto de pérdidas por deterioro, provisiones y otros gastos de difícil justificación, que se cifra en el 5% del rendimiento neto anterior a la aplicación de este gasto forfaitario con el límite absoluto de 2.000 euros anuales.
8.3. Ámbito de aplicación del método de estimación objetiva
Se modifica el apartado 1 del artículo 31 de la Ley del IRPF, con la pretensión de reducir el ámbito de aplicación del método de estimación objetiva, tanto desde un punto de vista cuantitativo, mediante una reducción de los límites de aplicación, como desde un punto de vista cualitativo, acotando las actividades que pueden acogerse al método de estimación objetiva. En todo caso, como ya se ha comentado, estas modificaciones no entrarán en vigor hasta 2016.
En cuanto a los límites cuantitativos de exclusión del método de estimación objetiva se contemplan las siguientes modificaciones:
- Límite de 450.000 euros aplicable en función del volumen de ingresos del año inmediato anterior, que con anterioridad a la reforma operaba conjuntamente para todas las actividades económicas:
- Se reduce hasta los 150.000 euros anuales (de volumen de facturación en 2015 para 2016), pero excluidas del mismo las actividades agrícolas, ganaderas y forestales y computándose la totalidad de las operaciones con independencia de que exista o no la obligación de expedir factura.
- Ahora bien, el citado límite se reduce hasta los 75.000 euros anuales de volumen de facturación en relación con las operaciones por las que se esté obligado a expedir factura en cuanto que el destinatario sea un empresario o profesional que actúe como tal.
- Límite de 300.000 euros aplicable en función del volumen de ingresos para el conjunto de las actividades agrícolas, ganaderas y forestales: se reduce hasta los 250.000 euros anuales. A estos efectos sólo se computarán las operaciones que deban anotarse en el libro registro de ventas o ingresos, como hasta ahora, por lo que siguen sin computarse a efectos del límite de exclusión las subvenciones y las indemnizaciones.
- Se suprimen los límites específicos aplicables en función del volumen de ingresos para el conjunto de las actividades económicas clasificadas en la división 7 de la sección primera de las Tarifas del IAE (transportes y comunicaciones) a que se refiere la letra d) del artículo 101.5 de la Ley del IRPF (introducidos con efectos desde 1 de enero de 2013).
- Límite de 300.000 euros en función del volumen de compras de bienes y servicios de aplicación conjunta para todas las actividades económicas: se reduce hasta los 150.000 euros anuales.
En cuanto a la delimitación de las actividades excluidas cualitativamente del método de estimación objetiva a partir de 2016, se modifica la disposición adicional trigésimo sexta de la Ley del IRPF, para establecer el siguiente mandato: “La Orden ministerial por la que se desarrolle para el año 2016 el método de estimación objetiva del Impuesto sobre la Renta de las Personas Físicas y el régimen especial simplificado del Impuesto sobre el Valor Añadido no incluirá en su ámbito de aplicación las actividades incluidas en las divisiones 3, 4, y 5 de la sección primera de las Tarifas del Impuesto sobre Actividades Económicas a las que sea de aplicación el artículo 101.5.d) de esta Ley en el período impositivo 2015, y reducirá, para el resto de actividades a las que resulte de aplicación dicho artículo, la cuantía de la magnitud específica para su inclusión en el método de estimación objetiva”
8.4. Reducción por irregularidad. Régimen transitorio
Se da nueva redacción al apartado 1 del artículo 32 de la Ley del IRPF, al objeto de introducir las siguientes modificaciones en relación con la reducción por irregularidad aplicable sobre los rendimientos de actividades económicas con período de generación superior a dos años o que se califican reglamentariamente como obtenidos de forma notoriamente irregular en el tiempo:
- El coeficiente reductor por irregularidad se establece en el 30%, frente al 40% aplicable con anterioridad a la reforma, que además sólo resultará de aplicación cuando los rendimientos irregulares, ya se trate de rendimientos generados en más de dos años o de rendimientos calificados reglamentariamente como obtenidos de forma notoriamente irregular en el tiempo, se imputen a un único período impositivo.
- Se establece un límite para la cuantía base sobre la que aplicar el nuevo coeficiente reductor atenuado del 30%, que no podrá resultar superior a los 300.000 euros anuales.
Consecuentemente, se articula un régimen transitorio (disposición transitoria vigésima quinta de la Ley del IRPF) para atenuar el impacto cuantitativo de las modificaciones de carácter restrictivo introducidas en relación con la reducción por irregularidad aplicable sobre los rendimientos de actividades económicas que se acaban de comentar, tal como sigue:
- Los rendimientos irregulares de actividades económicas que se vinieran percibiendo de forma fraccionada con anterioridad a 1 de enero de 2015 con imputación a más de un período impositivo, podrán seguir disfrutando de la reducción por irregularidad a partir de 2015, aplicando en su caso el coeficiente reductor del 30%, siempre que el cociente resultante de dividir el número de años de generación entre el número de períodos impositivos de fraccionamiento sea superior a dos.
- Cuando se trate de rendimientos irregulares de actividades económicas derivados de compromisos adquiridos con anterioridad a 1 de enero de 2015, a percibir a partir de dicha fecha de forma fraccionada con imputación a más de un período impositivo, si se acuerda la sustitución de la forma de percepción inicialmente prevista por su cobro en un único período impositivo, no se verá alterada la fecha de inicio del período de generación del rendimiento a considerar como consecuencia del nuevo negocio jurídico suscrito.
8.5. Reducciones del rendimiento neto por el desarrollo de determinadas actividades económicas en estimación directa.
Se modifica el apartado 2 del artículo 32 de la Ley del IRPF, que establece una reducción por el desarrollo de determinadas actividades económicas en el método de estimación directa, normal o simplificada, recogiendo, en cuanto a los requisitos de aplicación, algunas previsiones ya contempladas en el artículo 26 del Reglamento del IRPF, sin introducir cambios sustantivos a este respecto.
En cuanto a la cuantía de la reducción, se establecen dos niveles de aplicación:
- Cuando se cumplan los requisitos previstos en el artículo 32.2.2º de la Ley del IRPF, a los que nos acabamos de referir y que se mantienen invariables:
- Se aplicará una reducción fija del rendimiento neto de 2.000 euros anuales.
- Adicionalmente, los contribuyentes con rendimientos netos de actividades económicas inferiores a 14.450 euros, siempre que además no obtengan otras rentas no exentas distintas de las de actividades económicas superiores a 6.500 euros, podrán aplicar la siguiente reducción:
- Contribuyentes con rendimientos netos de actividades económicas iguales o inferiores a 11.250 euros: aplicarán una reducción de 3.700 euros anuales.
- Contribuyentes con rendimientos netos de actividades económicas comprendidos entre 11.250 y 14.450 euros: aplicarán una reducción de cuantía anual igual a 3.700 euros menos el resultado de multiplicar por 1,15625 la diferencia entre el rendimiento neto de actividades económicas y 11.250 euros.
- También adicionalmente a los 2.000 euros anuales, y compatible con la anterior reducción adicional, las personas con discapacidad podrán aplicar una reducción de 3.500 euros anuales que, si acreditan necesitar ayuda de terceras personas, movilidad reducida o un grado de minusvalía igual o superior al 65%, se elevará hasta los 7.750 euros anuales.
- Cuando no se cumplan los requisitos previstos en el artículo 32.2.2º de la Ley del IRPF, los contribuyentes con rentas no exentas, incluidas las de la propia actividad económica, inferiores a 12.000 euros, podrán aplicar la siguiente reducción:
- Contribuyentes con rentas iguales o inferiores a 8.000 euros: aplicarán una reducción de 1.620 euros anuales.
- Contribuyentes con rentas comprendidas entre 8.000,01 y 12.000 euros: aplicarán una reducción de cuantía anual igual a 1.620 euros menos el resultado de multiplicar por 0,405 la diferencia entre las citadas rentas y 8.000 euros.
Esta reducción, conjuntamente con la reducción prevista en el artículo 20 de la Ley del IRPF por obtención de rendimientos del trabajo, no podrá exceder de los 3.700 euros anuales.
Señalar por último, cómo, en materia de reducción del rendimiento neto de actividades económicas, la modificación tal vez más transcendente se opera al mantenerse inalterada la disposición adicional vigésima séptima de la Ley del IRPF, sobre reducción del rendimiento neto por mantenimiento o creación de empleo, lo que implica de hecho su supresión para 2015 y siguientes, al tener acotada temporalmente su aplicación a los períodos impositivos 2009 a 2014, ambos inclusive.
9. Ganancias y pérdidas patrimoniales [subir]
9.1. Extinción del régimen económico matrimonial de separación de bienes
Se modifica la letra d) del apartado 3 del artículo 33 de la Ley del IRPF, para clarificar el ámbito material del supuesto de no sujeción previsto en relación con los casos en los que, por imposición legal o mediando resolución judicial, tiene lugar la extinción del régimen económico matrimonial de separación de bienes, así como las consecuencias que de ello se derivan.
Con la redacción vigente hasta 2014, el supuesto de no sujeción se declaraba en relación con las ganancias o pérdidas patrimoniales obtenidas a la extinción del régimen económico matrimonial de separación de bienes, por imposición legal o resolución judicial, como consecuencia de haberse producido adjudicaciones por causa distinta de la pensión compensatoria entre cónyuges, sin que en tal caso pudiera tener lugar una actualización de valores con efectos fiscales de los bienes y derechos adjudicados. De tal manera que se planteaba la duda de si el supuesto de no sujeción se circunscribía al cónyuge pagador de la compensación (así, en el caso de que este entregase un bien de su patrimonio en pago de una compensación legal o impuesta judicialmente no estaría sujeta al IRPF la eventual ganancia patrimonial que se pusiera de manifiesto con ocasión de dicha adjudicación en pago), o resultaba aplicable también al perceptor de la misma.
En este sentido, el TEAC, en resolución de 30 de octubre de 2013, considera que la compensación por trabajo en el hogar debe tributar como un rendimiento del trabajo personal en sede del cónyuge perceptor y, paralelamente (aunque esta parte no era el objeto de la resolución), dejaba abierta la puerta para su tratamiento como reducción de la base imponible en sede del pagador. Así las cosas, venía a equiparar su tratamiento fiscal con el de la pensión compensatoria.
Pues bien, con la nueva redacción se clarifica el supuesto de no sujeción al referirse a las ganancias o pérdidas patrimoniales, que se obtengan como consecuencia de la extinción del régimen económico matrimonial de separación de bienes por imposición legal o resolución judicial, cuando se produzcan compensaciones, que pueden materializarse en dinero o mediante la adjudicación de bienes, siempre que, en todo caso, tengan lugar por causa distinta de la pensión compensatoria entre cónyuges. De esta manera, a partir de 1 de enero de 2015 queda claro que en sede del perceptor de estas compensaciones, por imposición legal o resolución judicial, se establece la no sujeción de la ganancia patrimonial correspondiente, tanto si tienen lugar en dinero o mediante la adjudicación de bienes. Tampoco en sede del pagador de la compensación estará sujeta la eventual ganancia patrimonial derivada de la adjudicación de bienes en pago de tales compensaciones de origen legal o judicial.
Ahora bien, se especifica que al supuesto de no sujeción se le anuda una doble consecuencia:
- Que no puede tener lugar una actualización de valores con efectos fiscales de los bienes y derechos adjudicados, como hasta ahora.
- Que tales compensaciones no constituyen renta para el perceptor ni dan derecho a reducir la base imponible del pagador.
9.2. Cuantificación de las ganancias y pérdidas patrimoniales.
9.2.1. Supresión de los coeficientes de actualización del valor de adquisición en la transmisión de bienes inmuebles
Se modifica el artículo 35 de la Ley del IRPF, para suprimir los coeficientes de actualización del valor de adquisición en la transmisión de bienes inmuebles, aplicables hasta la reforma, para corregir la depreciación monetaria, en función de los establecidos anualmente por la Ley de Presupuestos Generales del Estado correspondiente.
9.2.2. Régimen transitorio aplicable a las ganancias patrimoniales derivadas de la transmisión de elementos patrimoniales adquiridos con anterioridad al 31 de diciembre de 1994
Se modifica la disposición transitoria novena de la Ley del IRPF, que regula la reducción por abatimiento en el régimen transitorio de las ganancias patrimoniales derivadas de la transmisión de elementos patrimoniales no afectos a actividades económicas, adquiridos con anterioridad a 31 de diciembre de 1994, para establecer un límite cuantitativo, cifrado en 400.000 euros, al importe del valor de las transmisiones realizadas a partir de 1 de enero de 2015 susceptibles de beneficiarse de la citada reducción en el régimen transitorio, cuya mecánica de aplicación queda como sigue:
- En primer lugar, determinaremos las ganancias patrimoniales obtenidas derivadas de las distintas transmisiones de elementos patrimoniales (las pérdidas patrimoniales no son objeto de reducción por abatimiento) según las reglas general y específicas establecidas en materia de ganancias y pérdidas patrimoniales que resulten aplicables.
- En segundo lugar, determinaremos la parte de la ganancia patrimonial que se entiende generada con anterioridad al 20 de enero de 2006 correspondiente a las transmisiones de elementos patrimoniales realizadas a partir de 1 de enero de 2015, aplicando las mismas reglas vigentes con anterioridad a la reforma.
- En tercer lugar, en lo que constituye la parte novedosa de la reforma, se establece un límite cuantitativo al importe de la ganancia patrimonial susceptible de reducción por abatimiento, que será la parte proporcional de la ganancia patrimonial correspondiente a los primeros 400.000 euros del valor de las transmisiones realizadas a partir de 1 de enero de 2015, tal como sigue:
- A efectos del límite de 400.000 euros solamente se tomarán en consideración las transmisiones de elementos patrimoniales en las que concurran los siguientes requisitos:
- Que los elementos patrimoniales transmitidos no estén afectos, ni total ni parcialmente, a actividades económicas. Si hubieran estado afectos a actividades económicas, su desafectación deberá haber tenido lugar con más de tres años de antelación a la fecha de transmisión.
- Que los elementos patrimoniales transmitidos hubieran sido adquiridos con anterioridad a 31 de diciembre de 1994.
- Que hubieran generado una ganancia patrimonial.
- Se tomarán en consideración las transmisiones realizadas a partir de 1 de enero de 2015, con límite temporal indefinido hasta completar el límite cuantitativo de 400.000 euros de valor de transmisión.
- Se atenderá con carácter prelativo a la fecha en que se entienda producida la alteración patrimonial derivada de cada transmisión patrimonial generadora de una ganancia patrimonial susceptible de reducción.
- Por último, el importe de cada ganancia patrimonial susceptible de reducción por abatimiento, o de la parte proporcional correspondiente por aplicación del límite cuantitativo de 400.000 euros, en la cuantía que se entienda generada con anterioridad a 20 de enero de 2006, se reducirá aplicando el coeficiente de abatimiento que resulte procedente atendiendo a la naturaleza del elemento patrimonial transmitido y al número de años transcurridos entre la fecha de adquisición del elemento patrimonial transmitido y el 31 de diciembre de 1996, en iguales términos que con la normativa anterior a la reforma.
Veamos un par de ejemplos.
Ejemplo
Un contribuyente adquirió un bien inmueble el 1 de julio de 1.990 por 150.000 euros, que ha constituido su segunda residencia para vacaciones desde su adquisición, y lo vende por 600.000 euros:
- 1.ª Alternativa: El día 29 de diciembre de 2014 (a tributar IRPF 2014).
- 2.ª Alternativa: El día 2 de enero de 2015 (a tributar IRPF 2015).
Calcular la ganancia patrimonial gravable en el IRPF de 2014 y 2015 según las dos alternativas señaladas.
Solución
- 1ª Alternativa: Transmisión el 29 de diciembre de 2014 (a tributar IRPF 2014).
Cálculo de la ganancia patrimonial sabiendo que resultan de aplicación los coeficientes de actualización de los valores de adquisición de bienes inmuebles no afectos a actividades económicas previstos en el artículo 35.2 de la Ley del IRPF, así como los coeficientes de abatimiento en el régimen transitorio según la Disposición Transitoria novena de la Ley del IRPF:
Valor de transmisión |
600.000,00 |
Valor de adquisición actualizado (150.000 x 1,3299) |
-199.485,00 |
Ganancia patrimonial “previa” |
400.515,00 |
Determinamos la ganancia patrimonial que se entiende generada con anterioridad al 20 de enero de 2006:
Período de permanencia hasta 20/01/2006 |
5.683 días |
Período de permanencia hasta transmisión 29/12/2014 |
8.948 días |
Luego la ganancia patrimonial que se entiende generada con anterioridad al 20 de enero de 2006 será: [400.515,00 x 5.683 / 8.948] = 254.372,68 euros.
Determinamos ahora la reducción por aplicación de la disposición transitoria novena de la Ley del IRPF:
Período permanencia computable hasta 31/12/1996 |
≈7 años |
Coeficiente reductor [(7 - 2) x 11,11%] |
55,55% |
Reducción régimen transitorio (254.372,68 x 0,5555) |
141.304,02 |
Ganancia patrimonial a integrar en la base imponible del ahorro:
Ganancia patrimonial “previa” |
400.515,00 |
Reducción régimen transitorio |
141.304,02 |
Ganancia patrimonial BI del ahorro |
259.210,98 |
Cálculo de la cuota íntegra (estatal más autonómica) correspondiente:
Hasta 6.000 euros [6.000 x (0,1150 + 0,0950) |
1.260,00 |
Entre 6.000 y 24.000 euros [18.000 x (0,1450 + 0,1050)] |
4.500,00 |
Resto [(259.210,98 - 24.000) x (0,1650 + 0,1050)] |
63.506,96 |
Total cuota íntegra conjunta |
69.266,96 |
- 2.ª Alternativa: Transmisión 2 de enero de 2015 (a tributar IRPF 2015).
Cálculo de la ganancia patrimonial sabiendo que tras la reforma no resultan de aplicación los coeficientes de actualización a los valores de adquisición de bienes inmuebles no afectos a actividades económicas previstos en el artículo 35.2 de la Ley del IRPF y que los coeficientes de abatimiento en el régimen transitorio según la Disposición Transitoria novena de la Ley del IRPF solamente resultan de aplicación respecto de la parte de la ganancia patrimonial que se corresponda proporcionalmente con un valor de transmisión de hasta 400.000 euros:
Valor de trasmisión |
600.000,00 |
Valor de adquisición |
-150.000,00 |
Ganancia patrimonial “previa” |
450.000,00 |
Determinamos la ganancia patrimonial que se entiende generada con anterioridad al 20 de enero de 2006:
Período de permanencia hasta 20/01/2006 |
5.683 días |
Período de permanencia hasta transmisión 02/01/2015 |
8.952 días |
Luego la ganancia patrimonial que se entiende generada con anterioridad al 20 de enero de 2006 será: [450.000,00 x 5.683 / 8.952] = 285.673,59 euros.
Determinamos la parte de la ganancia patrimonial obtenida que se entiende generada con anterioridad al 20 de enero de 2006, que se corresponde proporcionalmente con un valor de transmisión de hasta 400.000 euros, que será la parte de la misma susceptible de reducción por abatimiento: 400.000 x 285.673,59 / 600.000 = 190.444,06 euros.
Determinamos ahora la reducción por aplicación de la disposición transitoria novena de la Ley del IRPF:
Período permanencia computable hasta 31/12/1996 |
≈7 años |
Coeficiente reductor [(7 - 2) x 11,11%] |
55,55% |
Reducción régimen transitorio (190.449,06 x 0,5555) |
105.794,45 |
Ganancia patrimonial a integrar en la base imponible del ahorro:
Ganancia patrimonial “previa” |
450.000,00 |
Reducción régimen transitorio |
-105.794,45 |
Ganancia patrimonial BI del ahorro |
344.205,55 |
Cálculo de la cuota íntegra (estatal más autonómica) correspondiente:
Hasta 6.000 euros [6.000 x (0,1050 + 0,0950) |
1.200,00 |
Entre 6.000 y 50.000 euros [44.000 x (0,1150 + 0,1050)] |
9.680,00 |
Resto [(344.205,55 - 50.000) x (0,1350 + 0,1050)] |
70.609,33 |
Total cuota íntegra conjunta |
81.489,33 |
Diferencia de tributación 2014/2015:
Total cuota íntegra conjunta 2015 |
81.489,33 |
Total cuota íntegra conjunta 2014 |
-69.266,96 |
Exceso tributación 2015 s/ 2014 |
12.222,37 |
Ejemplo
Un contribuyente ha realizado a lo largo de 2015 las siguientes operaciones determinantes de alteraciones de patrimonio generadoras de ganancias y pérdidas patrimoniales:
- Ha transmitido un bien inmueble, que adquirió el 1 de julio de 1.990 por 150.000 euros, que ha constituido su segunda residencia para vacaciones desde su adquisición. La transmisión la ha realizado con fecha 2 de marzo de 2015 y el precio de venta asciende a 300.000 euros.
- Ha realizado las siguientes operaciones de venta de acciones cotizadas en bolsa:
- El 20 de mayo de 2015 transmite un paquete de acciones por importe de 75.000 euros, descontadas comisiones y gastos. El citado paquete de acciones fue adquirido el 20 de mayo de 1994 por 80.000 euros, gastos incluidos, y su cotización media del último trimestre de 2005 según la Orden EHA/492/2005, esto es su valor a efectos del Impuesto sobre el Patrimonio, fue de 100.000 euros.
- El 20 de julio de 2015 transmite un paquete de acciones por importe de 75.000 euros, descontadas comisiones y gastos. El citado paquete de acciones fue adquirido el 20 de julio de 1992 por 50.000 euros, gastos incluidos, y su cotización media del último trimestre de 2005 según la Orden EHA/492/2005, esto es su valor a efectos del Impuesto sobre el Patrimonio, fue de 60.000 euros.
- El 20 de septiembre de 2015 transmite un paquete de acciones por importe de 75.000 euros, descontadas comisiones y gastos. El citado paquete de acciones fue adquirido el 20 de septiembre de 1990 por 25.000 euros, gastos incluidos, y su cotización media del último trimestre de 2005 según la Orden EHA/492/2005, esto es su valor a efectos del Impuesto sobre el Patrimonio, fue de 80.000 euros.
Determinar las ganancias y pérdidas patrimoniales a integrar en la base imponible del ahorro.
Solución
- Transmisión bien inmueble el 2 de marzo.
Cálculo de la ganancia patrimonial sabiendo que tras la reforma no resultan de aplicación los coeficientes de actualización a los valores de adquisición de bienes inmuebles no afectos a actividades económicas previstos en el artículo 35.2 de la Ley del IRPF y que los coeficientes de abatimiento en el régimen transitorio según la Disposición Transitoria novena de la Ley del IRPF solamente resultan de aplicación respecto de la parte de la ganancia patrimonial que se corresponda proporcionalmente con un valor de transmisión de hasta 400.000 euros:
Valor de trasmisión |
300.000,00 |
Valor de adquisición |
-150.000,00 |
Ganancia patrimonial “previa” |
150.000,00 |
Determinamos la ganancia patrimonial que se entiende generada con anterioridad al 20 de enero de 2006:
Período de permanencia hasta 20/01/2006 |
5.683 días |
Período de permanencia hasta transmisión 02/03/2015 |
9.011 días |
Luego la ganancia patrimonial que se entiende generada con anterioridad al 20 de enero de 2006 será: [150.000,00 x 5.683 / 9.011] = 94.601,04 euros.
Como el valor de transmisión de todas las operaciones realizadas desde el 1 de enero de 2015, que determinan alteraciones de patrimonio susceptibles de ser objeto de abatimiento según la Disposición transitoria novena de la Ley del IRPF, no supera los 400.000 euros, la totalidad de la ganancia patrimonial obtenida que se entiende generada con anterioridad al 20 de enero de 2006 puede ser objeto de reducción. Determinamos ahora la reducción por aplicación de la D.T 9ª de la Ley del IRPF:
Período permanencia computable hasta 31/12/1996 |
≈7 años |
Coeficiente reductor [(7 - 2) x 11,11%] |
55,55% |
Reducción régimen transitorio (94.601,04 x 0,5555) |
52.550,88 |
Ganancia patrimonial a integrar en la base imponible del ahorro:
Ganancia patrimonial “previa” |
150.000,00 |
Reducción régimen transitorio |
-52.550,88 |
Ganancia patrimonial BI del ahorro |
97.449,12 |
- Transmisión el 20 de mayo de 2015 del paquete de acciones adquirido el 20 de mayo de 1994.
Valor de transmisión |
75.000,00 |
Valor de adquisición |
-80.000,00 |
Pérdida Patrimonial BI del ahorro |
-5.000,00 |
Como se ha determinado una pérdida patrimonial, no resulta de aplicación la disposición transitoria novena de la Ley del IRPF.
- Transmisión el 20 de julio de 2015 del paquete de acciones adquirido el 20 de julio de 1992.
Valor de transmisión |
75.000,00 |
Valor de adquisición |
-50.000,00 |
Ganancia Patrimonial “previa” |
25.000,00 |
Determinamos la ganancia patrimonial que se entiende generada con anterioridad al 20 de enero de 2006:
Valor Impuesto sobre el Patrimonio 2005 |
60.000,00 |
Valor de adquisición |
-50.000,00 |
Diferencia |
10.000,00 |
Como el valor de transmisión acumulado de todas las operaciones realizadas desde el 1 de enero de 2015, que determinan alteraciones de patrimonio susceptibles de ser objeto de abatimiento según la Disposición transitoria novena de la Ley del IRPF (al no computarse la transmisión de acciones que genera una pérdida patrimonial), no supera los 400.000 euros, la totalidad de la ganancia patrimonial obtenida que se entiende generada con anterioridad al 20 de enero de 2006 puede ser objeto de reducción.
Determinamos ahora la reducción por aplicación de la disposición transitoria novena de la Ley del IRPF:
Período permanencia computable hasta 31/12/1996 |
≈5 años |
Coeficiente reductor [(5 - 2) x 25%] |
75% |
Reducción régimen transitorio (10.000 x 0,75) |
7.500,00 |
Ganancia patrimonial a integrar en la base imponible del ahorro:
Ganancia patrimonial “previa” |
25.000,00 |
Reducción régimen transitorio |
-7.500,00 |
Ganancia patrimonial BI del ahorro |
17.500,00 |
- Transmisión el 20 de septiembre de 2015 del paquete de acciones adquirido el 20 de septiembre de 1990.
Valor de transmisión |
75.000,00 |
Valor de adquisición |
-25.000,00 |
Ganancia Patrimonial “previa” |
50.000,00 |
Como el valor cotización media del último trimestre de 2005 según la Orden EHA/492/2005, esto es su valor a efectos del Impuesto sobre el Patrimonio, resulta superior al valor de transmisión, la totalidad de la ganancia patrimonial obtenida se entiende generada con anterioridad al 20 de enero de 2006.
Como con esta última operación el valor de transmisión acumulado de todas las operaciones realizadas desde el 1 de enero de 2015, que determinan alteraciones de patrimonio susceptibles de ser objeto de abatimiento según la Disposición transitoria novena de la Ley del IRPF (aún no computándose la transmisión de acciones que genera una pérdida patrimonial), supera los 400.000 euros, solamente la parte de la ganancia patrimonial obtenida que se entiende generada con anterioridad al 20 de enero de 2006, que proporcionalmente corresponda a la parte del valor de transmisión que resta para alcanzar dicho límite, respecto del importe total de esta última operación, puede ser objeto de reducción.
Luego la parte de la ganancia patrimonial obtenida que puede ser objeto de reducción será:
50.000 x (400.000 – 300.000 – 75.000) / 75.000 = 16.666,67 euros
El importe de la reducción por abatimiento será:
Período permanencia computable hasta 31/12/1996 |
≈7 años |
Coeficiente reductor [(7 - 2) x 25%] |
100% |
Reducción régimen transitorio (16.666,67 x 1) |
16.666,67 |
Ganancia patrimonial a integrar en la base imponible del ahorro:
Ganancia patrimonial “previa” |
50.000,00 |
Reducción régimen transitorio |
-16.666,67 |
Ganancia patrimonial BI del ahorro |
33.333,33 |
9.3. Derechos de suscripción preferente desgajados de valores cotizados
Se modifican las letras a), b) y c) del apartado 1 y el apartado 2 y se suprime el apartado 4 del artículo 37 de la Ley del IRPF, para, al margen de introducir ciertas actualizaciones terminológicas más acordes con la dicción contable, equiparar el tratamiento fiscal de la venta de derechos de suscripción preferente procedentes de valores cotizados y no cotizados.
Ahora bien, tal y como ya se ha comentado, la letra c) de la Disposición final sexta de la Ley 26/2014, de 27 de noviembre, pospone la entrada en vigor de la reforma de los citados preceptos, que modifican el régimen de tributación de las ganancias patrimoniales derivadas de la transmisión de derechos de suscripción preferente desgajados de acciones cotizadas en mercados organizados, hasta el 1 de enero de 2017.
Con la normativa anterior a la reforma, el importe obtenido en la transmisión de derechos de suscripción procedentes de valores cotizados minoraba el valor de adquisición de tales valores hasta su anulación, tributando únicamente el exceso como ganancia patrimonial en el momento de la transmisión. A tales efectos, cuando no se transmiten la totalidad de los derechos de suscripción, se entiende que los transmitidos corresponden a los valores más antiguos.
Pues bien, con las modificaciones introducidas, operativas a partir de 1 de enero de 2017, lo que se pretende es que el total importe obtenido en la transmisión de derechos de suscripción procedentes de valores cotizados tenga la consideración de ganancia patrimonial en el período impositivo en el que se produzca su transmisión, como ocurre con el importe obtenido en la transmisión de derechos de suscripción procedentes de valores no cotizados.
Como consecuencia de este cambio normativo, se añade una nueva disposición transitoria vigésima novena a la Ley del IRPF para establecer que, para la determinación del valor de adquisición en la transmisión de valores cotizados, se deducirá el importe obtenido en las transmisiones de derechos de suscripción realizadas con anterioridad a 1 de enero de 2017, con exclusión del importe que de tales transmisiones hubiera tributado ya como ganancia patrimonial. A tales efectos, cuando no se hubieran transmitido la totalidad de los derechos de suscripción, se entenderá que los transmitidos corresponden a los adquiridos en primer lugar.
9.4. Ganancias patrimoniales derivadas de la transmisión de licencias de autotaxi por contribuyentes en el método de estimación objetiva
Se modifica la disposición adicional séptima de la Ley del IRPF, que establece la aplicación de unos coeficientes reductores de la ganancia patrimonial derivada de la transmisión de licencias de autotaxi por contribuyentes en el método de estimación objetiva, cuando dicha transmisión tenga lugar en determinadas circunstancias.
Lo que se pretende con la reforma, que viene a incorporar a la Ley el contenido del artículo 42 del Reglamento del IRPF manteniendo inalterables los requisitos exigidos, es limitar la aplicación de los coeficientes reductores, que también se mantienen invariables, a la parte de la ganancia patrimonial generada hasta el 1 de enero de 2015. A tales efectos se establece, como criterio para determinar la parte de la ganancia patrimonial generada con anterioridad a 1 de enero de 2015, un reparto lineal de la total ganancia patrimonial obtenida en función del número de días transcurridos desde la fecha de adquisición del activo fijo intangible hasta el 31 de diciembre de 2014, en relación con el número total de días que hubiera permanecido en el patrimonio del contribuyente.
9.5. Exención por reinversión de ganancias patrimoniales
Se añade un apartado 3 al artículo 38 de la Ley del IRPF, que pasa a titularse “Ganancias excluidas de gravamen en supuestos de reinversión”, para establecer un nuevo supuesto de exención por reinversión.
En concreto, se establece la exención por reinversión de las ganancias patrimoniales derivadas de la transmisión de elementos patrimoniales, cualquiera que sea su naturaleza (bienes o derechos), por contribuyentes mayores de 65 años a la fecha de transmisión, de acuerdo con los siguientes parámetros:
- Que el total importe obtenido en la transmisión, con el límite de 240.000 euros, se destine, en el plazo de seis meses contados de fecha a fecha desde el momento de la transmisión, a la constitución a su favor de una renta vitalicia asegurada, en las condiciones que reglamentariamente se determinen.
- Cuando el importe reinvertido sea inferior al total importe de la transmisión, por operar el límite de 240.000 euros o por que se decidiera reinvertir sólo parte del valor de transmisión, la ganancia patrimonial exonerada de gravamen será la parte que proporcionalmente corresponda a la cantidad reinvertida en relación al total importe de la transmisión.
- La anticipación, total o parcial, de los derechos económicos derivados de la renta vitalicia asegurada que materializa la reinversión, implicará la perdida de la exención, debiéndose someter a gravamen el total importe de la ganancia patrimonial, en su día exonerada, en el momento del incumplimiento, sin que, entendemos, deba resarcirse a la Administración con intereses de demora.
10. Determinación de la base imponible: clases de renta. Integración y compensación de rentas [subir]
10.1.Rentas del ahorro
Se modifica el artículo 46 de la Ley del IRPF, para introducir un doble cambio en relación con las distintas categorías o componentes de renta que integrarán la base imponible del ahorro, tal como sigue:
- Pasan a integrar la renta del ahorro todas las ganancias y pérdidas patrimoniales que se deriven de transmisiones, con independencia de su período de generación. Sólo cuando la ganancia o pérdida patrimonial no se derive de una transmisión se integrará como renta general, retornándose de esta manera a la situación existente hasta el año 2012 inclusive.
- En relación con los rendimientos del capital mobiliario que no forman parte de la renta del ahorro por derivar de la financiación de entidades vinculadas, el porcentaje de participación a considerar en los supuestos en los que la vinculación no se defina en función de la relación socio-sociedad (para calcular el exceso de los capitales propios cedidos a una entidad vinculada respecto del resultado de multiplicar por tres los fondos propios en la parte que corresponde a la participación del contribuyente) se eleva hasta el 25% (con anterioridad a la reforma dicho porcentaje estaba fijado en el 5%), con lo que se reduce el ámbito de aplicación de esta norma de marcado carácter preventivo o cautelar.
Por otro lado, según el apartado 2 del artículo 95 bis de la Ley del IRPF y 108.1. b) de la Ley 27/2014, de 27 de noviembre, del Impuesto sobre Sociedades, también se van a integrar como rentas del ahorro las siguientes partidas:
- Las ganancias patrimoniales por cambio de residencia, gravadas ex novo por el artículo 95 bis de la Ley del IRPF, que se integrarán en la base imponible del ahorro como ganancias de patrimonio aun cuando no se derivan de transmisiones.
- Los beneficios distribuidos por sociedades que tributen en el régimen especial de las Entidades de Tenencia de Valores Extranjeros con cargo a reservas exentas en los términos establecidos en el artículo 108.1 de la Ley del Impuesto sobre Sociedades. Con anterioridad a la reforma tales rendimientos del capital mobiliario derivados de la participación en fondos propios se integraban como renta general habilitando la correspondiente deducción por doble imposición internacional
10.2. Integración y compensación de rentas en la base imponible general
Se modifica el artículo 48 de la Ley del IRPF, sobre integración y compensación de rentas en la base imponible general, para elevar hasta el 25% (con anterioridad a la reforma dicho porcentaje estaba fijado en el 10%) el límite de traslación (para su compensación con los rendimientos y rentas imputadas que acrecen a la base imponible general) del saldo negativo que resulte, en su caso, de integrar y compensar entre sí las ganancias y pérdidas patrimoniales que acrecen a la base imponible general al no derivarse de transmisiones, retornándose de esta manera a la situación existente hasta el año 2012 inclusive.
10.3. Integración y compensación de rentas en base imponible del ahorro
Se modifica el apartado 1 del artículo 49 de la Ley del IRPF, sobre integración y compensación de rentas en la base imponible del ahorro, al objeto de eliminar la tradicional estanqueidad existente entre los saldos negativos resultantes, en su caso, de integrar y compensar entre sí los rendimientos del capital mobiliario que acrecen a la base imponible del ahorro, por una parte, y las ganancias y pérdidas patrimoniales derivadas de transmisiones que acrecen también a la base imponible del ahorro, por otra. De tal manera que:
- Podrá compensarse el saldo negativo resultante de integrar y compensar entre sí los rendimientos del capital mobiliario que acrecen a la base imponible del ahorro, con el saldo positivo resultante de integrar y compensar entre sí las ganancias y pérdidas patrimoniales derivadas de transmisiones, cualquiera que sea su período de generación, con el límite del 25% de dicho saldo positivo.
- Y a la inversa, podrá compensarse el saldo negativo resultante de integrar y compensar entre sí las ganancias y pérdidas patrimoniales derivadas de transmisiones, cualquiera que sea su período de generación, con el saldo positivo resultante de integrar y compensar entre sí los rendimientos del capital mobiliario que acrecen a la base imponible del ahorro, con el límite del 25% de dicho saldo positivo.
- Transitoriamente dicho porcentaje será del 10% para 2015, del 15% para 2016 y del 20% para 2017, aplicándose el 25% a partir de 2018 (disposición adicional duodécima de la Ley del IRPF).
10.4. Régimen transitorio
Se modifican los apartados 5 y 6 y se añade un apartado 7 a la disposición transitoria séptima de la Ley del IRPF, para establecer el régimen de aplicación de las partidas pendientes de compensar a la fecha de entrada en vigor de las modificaciones introducidas en materia de integración y compensación de rentas que se acaban de comentar, tal como sigue:
- Las pérdidas patrimoniales integradas en la base imponible del ahorro generadas en 2011, 2012, 2013 y 2014 (las procedentes de 2011 y 2012 serán las derivadas de transmisiones, con independencia de su período de generación, mientras que las procedentes de 2013 y 2014 serán las derivadas de transmisiones con más de un año de período de generación), pendientes de compensación a 1 de enero de 2015, podrán compensarse con el saldo positivo que resulte de integrar y compensar entre sí las ganancias y pérdidas patrimoniales derivadas de transmisiones, cualquiera que sea su período de generación, que acrecen a la base imponible del ahorro.
- Las pérdidas patrimoniales integradas en la base imponible general generadas en 2011, 2012, 2013 y 2014 (las procedentes de 2011 y 2012 serán las que no se derivan de transmisiones, mientras que las procedentes de 2013 y 2014 podrían derivarse también de transmisiones con hasta un año de período de generación), pendientes de compensación a 1 de enero de 2015, se compensarán de acuerdo con las siguientes reglas:
- Las pérdidas patrimoniales integradas en la base imponible general, derivadas de transmisiones con hasta un año de periodo de generación procedentes de 2013 y 2014, pendientes de compensación a 1 de enero de 2015, podrán compensarse, en el plazo de los cuatro años siguientes, exclusivamente con el saldo positivo que resulte de integrar y compensar entre sí las ganancias y pérdidas patrimoniales derivadas de transmisiones, cualquiera que sea su periodo de generación, que acrecen a la base imponible del ahorro.
- El resto de pérdidas patrimoniales integradas en la base imponible general procedentes de 2011, 2012, 2013 y 2014 (las no derivadas de transmisiones), pendientes de compensación a 1 de enero de 2015, podrán compensarse, en el plazo de los cuatro años siguientes, tal como sigue:
- En primer lugar, con el saldo positivo que resulte de integrar y compensar entre sí las ganancias y pérdidas patrimoniales que se integran en la base imponible general, al no derivarse de transmisiones.
- En el caso de existir remanente de pérdidas patrimoniales a compensar, tal exceso podrá compensarse con el saldo positivo de los rendimientos y rentas imputadas que se integran en la base imponible general, con el límite del 25% de dicho saldo positivo.
- La posibilidad de compensar el saldo negativo resultante de integrar y compensar entre sí los rendimientos del capital mobiliario que acrecen a la base imponible del ahorro, con el saldo positivo resultante de integrar y compensar entre sí las ganancias y pérdidas patrimoniales derivadas de transmisiones que también acrecen a la base imponible del ahorro, y viceversa, no resultará de aplicación a los saldos negativos de tal naturaleza procedentes de 2011, 2012, 2013 y 2014, pendientes de compensación a 1 de enero de 2015. Esto es, la regla de estanqueidad se mantiene en el régimen transitorio.
Si el contribuyente arrastrara, procedente de los ejercicios 2013 y 2014, un saldo negativo de la base imponible general que proviene parcialmente de pérdidas patrimoniales derivadas de transmisiones patrimoniales de hasta un año y parcialmente de pérdidas patrimoniales no derivadas de transmisiones, deberá escindirse el saldo negativo en dos partes para dar, a cada una de ellas, el tratamiento tributario que impone el párrafo segundo del apartado 6 de la disposición transitoria séptima de la Ley del IRPF. Si bien nada precisa la normativa sobre el método de cálculo de la partición del saldo negativo, nos parece razonable acudir a un criterio proporcional.
11. Determinación de la base liquidable. Reducciones en la base imponible [subir]
11.1. Reducción por cuotas y aportaciones a partidos políticos
Se modifica el apartado 1 del artículo 50 y se suprime el artículo 61 bis de la Ley del IRPF, al único objeto de eliminar la reducción en base imponible por cuotas y aportaciones a partidos políticos, que pasa a articularse como una deducción en cuota.
11.2. Reducción por aportaciones y contribuciones a sistemas de previsión social
Se da nueva redacción a los apartados 3, 5 y 7 del artículo 51 y al apartado 1 del artículo 52 de la Ley del IRPF, para introducir los siguientes cambios en materia de reducciones en la base imponible por aportaciones y contribuciones a sistemas de previsión social:
- Modificar los límites para la reducción en la base imponible general por aportaciones y contribuciones a sistemas de previsión social en general, tal como sigue:
- El límite porcentual sobre los rendimientos netos del trabajo y de actividades económicas se establece en el 30%, en todo caso. Con anterioridad a la reforma se aplicaba el 30% con carácter general y el 50% para contribuyentes mayores de 50 años.
- El límite absoluto se establece en los 8.000 euros anuales, en todo caso. Con anterioridad a la reforma el límite era de 10.000 euros anuales con carácter general y de 12.500 euros anuales para los mayores de 50 años. A este respecto, se modifica la disposición adicional decimosexta de la Ley del IRPF para establecer también el límite financiero en los 8.000 euros anuales.
- El límite de reducción adicional por aportaciones a favor del cónyuge, cuando este no obtenga rendimientos del trabajo o de actividades económicas superiores a los 8.000 euros anuales, se eleva desde los 2.000 euros hasta los 2.500 euros anuales.
- Adecuar su contenido a las modificaciones introducidas por la disposición final primera de la Ley 26/2014, de 27 de noviembre, en el texto refundido de la Ley de Regulación de los Planes y Fondos de Pensiones, aprobado por Real Decreto Legislativo 1/2002, de 29 de noviembre, que básicamente se concretan en la flexibilización de la posibilidad de disponer de los derechos consolidados correspondientes a aportaciones y contribuciones a sistemas de previsión social, que podrán hacerse efectivos, además de en los supuestos tasados de enfermedad grave y desempleo de larga duración (transitoriamente también durante el plazo de dos años, contados a partir del 15 de mayo de 2013, en los supuestos de procedimientos de ejecución sobre la vivienda habitual del partícipe), una vez transcurridos diez años desde que aquellas tuvieron lugar, en las condiciones que reglamentariamente se establezcan.
No obstante, los derechos consolidados existentes a 31 de diciembre de 2015 sólo podrán hacerse efectivos a partir del 1 de enero de 2025, también en las condiciones, términos y límites que se establezcan reglamentariamente.
ESQUEMA BASES IMPONIBLE Y LIQUIDABLE GENERAL
(vigente a partir de 1 de enero de 2015)

ESQUEMA BASES IMPONIBLE Y LIQUIDABLE DEL AHORRO
(vigente a partir de 1 de enero de 2015)

12. Determinación de la cuota íntegra. Adecuación del impuesto a las circunstancias personales y familiares y escalas de gravamen [subir]
12.1.Mínimos personales y familiares
Se modifican los artículos 57 a 61 de la Ley del IRPF, para incrementar las cuantías de los mínimos personales y familiares e introducir ciertos matices en las normas para su aplicación.
- Se aumenta la cuantía de todos mínimos personales y familiares, tal y como se desprende del siguiente cuadro:
Hasta 2014 |
A partir de 2015 |
|
Mínimo por contribuyente |
||
Mayores de 65 años |
5.151 |
5.550 |
Mayores de 65 años |
+918 |
+1.150 |
Mayores de 75 años |
+1.122 |
+1.400 |
Mínimo por descendientes |
||
Primero |
1.836 |
2.400 |
Segundo |
2.040 |
2.700 |
Tercero |
3.672 |
4.000 |
Cuarto y siguientes |
4.182 |
4.500 |
Descendientes menores de 3 años |
+2.244 |
+2.800 |
Mínimo por ascendientes |
||
Ascendiente mayor de 65 años |
918 |
1.150 |
Si fuera mayor de 75 años |
+1.122 |
+1.400 |
Mínimo por discapacidad del contribuyente |
||
General |
2.316 |
3.000 |
Minusvalía superior al 65% |
7.038 |
9.000 |
Si acredita necesidad de ayuda de terceras personas, movilidad reducida o si el grado de minusvalía es igual o superior al 65% |
+2.316 |
+3.000 |
Mínimo por discapacidad de ascendientes o descendientes |
||
General |
2.316 |
3.000 |
Minusvalía superior al 65% |
7.038 |
9.000 |
Si acredita necesidad de ayuda de terceras personas, movilidad reducida o si el grado de minusvalía es igual o superior al 65% |
+2.316 |
+3.000 |
- En cuanto a las normas de aplicación de los mínimos personales y familiares se introducen las siguientes modificaciones:
- En relación con el mínimo por descendientes se precisa que se asimila a la convivencia con el contribuyente, la dependencia económica respecto del mismo, siempre que no resulte de aplicación la regla de atenuación de la progresividad en relación con las anualidades por alimentos a favor de los hijos prevista en los artículos 64 y 75 de la Ley del IRPF.
Asimismo, para el caso de fallecimiento se eleva la cuantía del mínimo por descendientes a computar desde los 1.836 euros hasta los 2.400 euros. - En relación con el mínimo por ascendientes se establece, por asimilación a los descendientes, que el mínimo a computar en caso de fallecimiento será de 1.150 euros anuales. En tal caso, para determinar si concurre el requisito de convivencia, será necesario que esta se haya producido al menos durante la mitad del período transcurrido entre el inicio del período impositivo y la fecha de fallecimiento.
12.2. Escalas de gravamen
Se modifican el apartado 1 del artículo 63, los artículos 64 a 66, 75 y 76 y la disposición adicional trigésima primera de la Ley del IRPF, para establecer unas escalas de gravamen, de la base liquidable general y del ahorro, con reducción del número de tramos y de los tipos marginales (en relación a los incrementados con el gravamen complementario vigente en 2012, 2013 y 2014) que se va a implementar en dos fases, para 2015 y 2016, cuyas características más significativas son las siguientes:
- Escala estatal de gravamen aplicable sobre la base liquidable general:
- El número de tramos se reduce a cinco.
- El marginal mínimo se fija en el 10% para 2015 y en el 9,50% para 2016.
- El marginal máximo se fija en el 23,50% para 2015 y en el 22,50 % para 2016.
- Escala de gravamen (estatal más autonómica) aplicable sobre la base liquidable del ahorro:
El gravamen final dependerá de la escala autonómica correspondiente. Si bien, a efectos de retenciones se propone una escala de cinco tramos cuyos tipos marginales oscilan entre el 19% (20% para 2015) y el 45% (47% para 2015).
Base liquidable del ahorro |
Tipo 2015 |
Tipo 2016 |
Hasta 6.000 euros |
20% | 19% |
De 6.000 euros a 50.000 euros |
22% | 21% |
De 50.000 euros en adelante |
24% | 23% |
- En relación con la especialidad de aplicación de la escala general de gravamen en los supuestos de anualidades por alimentos a favor de los hijos fijadas por decisión judicial, se precisa que sólo procederá cuando no se tenga derecho a la aplicación del mínimo por descendientes, incrementándose el mínimo personal y familiar para su aplicación en 1.980 euros anuales (actualmente dicho incremento está fijado en 1.600 euros anuales).
Por último, y relacionado con esta materia, se añade una nueva disposición adicional vigésima a la Ley del IRPF, para conceptuar y clarificar la mecánica de gravamen de las rentas exentas con progresividad.
13. Determinación de la cuota líquida. Deducciones de la normativa estatal [subir]
13.1. Deducciones de la cuota que se suprimen o cuyo régimen se mantiene inalterado
Se modifica el apartado 1 del artículo 67, se suprimen los apartados 6 y 7 del artículo 68, se modifica el apartado 1 del artículo 70 y se modifica el apartado 1 del artículo 77 de la Ley del IRPF, con el objeto de eliminar las siguientes deducciones de la cuota:
- La deducción por cuenta ahorro-empresa.
- La deducción por alquiler de la vivienda habitual, si bien se mantiene en el régimen transitorio (disposición transitoria decimoquinta de la Ley del IRPF) en relación con aquellos contribuyentes que hubieran celebrado un contrato de arrendamiento con anterioridad a 1 de enero de 2015, siempre que, con anterioridad a dicha fecha, se hubieran satisfecho cantidades derivadas del citado contrato que hubieran acreditado el derecho a deducir.
Se mantienen inalteradas las siguientes deducciones de la cuota:
- La deducción por inversión en vivienda habitual, aplicable en el régimen transitorio.
- La deducción por inversión en empresas de nueva o reciente creación (se modifica el número 1º del apartado 1 del artículo 68 y se añade la disposición transitoria vigésima octava de la Ley del IRPF, al único objeto de adecuar su contenido a la supresión de la deducción por cuenta ahorro-empresa).
- La deducción para la protección y difusión del Patrimonio Histórico Español y de las ciudades, conjuntos y bienes declarados Patrimonio Mundial.
13.2. Deducciones en actividades económicas. Deducción por inversión de beneficios en empresas de reducida dimensión
Se modifica el apartado 2 del artículo 68 de la Ley del IRPF, al objeto de establecer una regulación completa de la deducción por inversión de beneficios en el ámbito de las empresas de reducida dimensión, al resultar suprimida por la Ley 27/2014, de 27 de noviembre, del Impuesto sobre Sociedades, y mantenerse en el ámbito del IRPF.
Con anterioridad a la reforma esta deducción, operativa desde 2013, se regulaba por remisión a la normativa del Impuesto sobre Sociedades, regulación que se completaba por el artículo 68.2 de la Ley del IRPF para su adecuación a este impuesto.
Tras las modificaciones normativas introducidas, el régimen de la deducción se mantiene prácticamente inalterado, con la única diferencia significativa de establecerse una reducción de los coeficientes de deducción. Analizamos brevemente cómo queda su contenido.
13.2.1. Ámbito de aplicación de la deducción
La deducción por inversión de beneficios, como el resto de las deducciones para incentivar la realización de determinadas actividades económicas, se aplica a los contribuyentes del IRPF que determinen el rendimiento neto de sus actividades económicas por el método de estimación directa, en cualquiera de sus dos modalidades.
En todo caso, los contribuyentes que pretendan aplicar la deducción por inversión de beneficios deberán reunir los requisitos establecidos en el artículo 101 de la Ley del Impuesto sobre Sociedades para tener la consideración de empresa de reducida dimensión, según el cual la cifra de negocios en el período impositivo inmediato anterior deberá ser inferior a 10 millones de euros.
Se plantea la duda de si tal requisito debe concurrir en el ejercicio en el que se obtengan los beneficios, en el que se materialice la inversión o en ambos. Pues bien, entiende la DGT, en informe IE0041-14, de 6 de febrero, que el citado requisito debe de concurrir únicamente en el ejercicio en el que se obtengan los beneficios, puesto que la deducción está ligada a la inversión de los mismos, con independencia de cuál sea la consideración de la empresa en el momento en el que se realice la inversión.
13.2.2. Cuantificación del crédito fiscal de la deducción por inversión de beneficios y nacimiento del derecho a deducir
13.2.2.1. Base de cálculo de la deducción
Dan derecho a la deducción los rendimientos netos de actividades económicas que se inviertan en elementos nuevos del inmovilizado material o inversiones inmobiliarias que se afecten a actividades económicas desarrolladas por el contribuyente.
Pues bien, la base de la deducción será la cuantía equivalente a la parte de la base liquidable general positiva del período impositivo que corresponda a tales rendimientos netos, invertidos en los términos del artículo 68.2 de la Ley del IRPF, sin que en ningún caso la misma cuantía pueda entenderse invertida en más de un activo.
A este respecto, en cuanto a la delimitación de la magnitud “rendimiento neto”, a la que alude el citado artículo 68.2 b) de la Ley del IRPF, cabrían dos planteamientos, ante la falta de precisión normativa:
- Considerar la magnitud que va a la base imponible, esto es después de aplicar las reducciones del artículo 32 de la Ley del IRPF, opción más favorable a la Administración.
- Considerar la magnitud previa a la aplicación de las reducciones del artículo 32 de la Ley del IRPF, opción más favorable al contribuyente.
Entendemos que la norma se refiere al rendimiento neto minorado en las tres reducciones del artículo 32 de la Ley del IRPF, esto es, la magnitud que se integra en la base imponible. En todo caso habremos de estar a lo que al respecto determinen las consultas de la DGT.
13.2.2.2. Porcentaje de cálculo de la deducción
Los contribuyentes que acrediten el derecho a deducir aplicarán los siguientes porcentajes de deducción:
- Con carácter general se aplicará el coeficiente de deducción del 5%.
- No obstante, el porcentaje de deducción será del 2,5% en los siguientes supuestos:
- Cuando el contribuyente se hubiera practicado la reducción del 20% por inicio de nuevas actividades económicas, prevista en el artículo 32.3 de la Ley del IRPF.
- Cuando se trate de rentas respecto de las que se hubiera aplicado la deducción por rentas obtenidas en Ceuta y Melilla, prevista en el artículo 68.4 de la Ley del IRPF.
El importe de la deducción no podrá exceder de la suma de la cuota íntegra estatal más autonómica del período impositivo en el que obtuvieron los rendimientos netos invertidos, sin perjuicio de la aplicación de los límites previstos en el artículo 69 de la Ley del IRPF.
13.2.2.3. Nacimiento del derecho a deducir
El derecho a deducir nace en el período impositivo en el que se materialice la inversión, y la inversión se entenderá efectuada en la fecha en que se produzca la puesta a disposición de los elementos patrimoniales en los que se invierte, incluso en el supuesto de elementos patrimoniales que sean objeto de los contratos de leasing para su adquisición. No obstante, en este último caso, la deducción estará condicionada, con carácter resolutorio, al ejercicio de la opción de compra.
13.2.3. Requisitos de la deducción
El nacimiento del derecho a la deducción por inversión de beneficios está condicionado al cumplimiento de los siguientes requisitos:
- Los beneficios deben invertirse en elementos patrimoniales aptos para la inversión.
- La reinversión debe efectuarse dentro de un plazo determinado.
- El elemento patrimonial que materializa la inversión debe permanecer en funcionamiento en la entidad durante un cierto tiempo.
13.2.3.1. Elementos patrimoniales aptos para la inversión
Los elementos que materializan la inversión han de reunir los siguientes requisitos:
- Han de pertenecer al inmovilizado material o inversiones inmobiliarias.
- Ha de tratarse de elementos nuevos, esto es, que entren en funcionamiento por primera vez.
- Han de quedar afectos a la realización de actividades económicas, afectación del elemento patrimonial a la actividad económica que deberá de tener lugar dentro del plazo de inversión. Así lo entiende la DGT en informe IE0041-14, de 6 de febrero.
En relación con el requisito de que ha de tratarse de elementos nuevos, aunque la redacción de la norma no es todo lo precisa que sería de desear, ya que su tenor literal se refiere a “… elementos nuevos del inmovilizado material o inversiones inmobiliarias” pudiendo dar a entender que el adjetivo “nuevos” sólo se predica respecto de los elementos del inmovilizado material y no de los elementos de las inversiones inmobiliarias, que podrían ser usados, entendemos que el adjetivo “nuevos” se predica tanto para los elementos del inmovilizado material como para los elementos de las inversiones inmobiliarias. Así lo entiende la DGT en informe IE0041-14, de 6 de febrero.
13.2.3.1. Plazo para la inversión
El plazo para realizar la inversión comienza al inicio del periodo impositivo en que se obtengan los beneficios objeto de inversión y finaliza transcurridos dos años desde ese momento. Así, el plazo para invertir, respecto de los beneficios obtenidos en 2015, será el que va desde el 1 de enero de 2015 al 31 de diciembre de 2016.
13.2.3.4. Permanencia de la inversión
Los elementos que materializan la inversión deberán permanecer en funcionamiento en el patrimonio de la empresa, salvo pérdida justificada, durante un periodo de cinco años, o bien, durante toda su vida útil si ésta resulta ser inferior.
No se perderá la deducción en el caso de transmisión de los elementos patrimoniales que materializan la inversión antes de la finalización del plazo de permanencia exigido, siempre que el importe obtenido, o el valor neto contable si fuera inferior, se reinvierta de nuevo conforme a los requisitos de esta deducción.
Se plantea la duda, en el supuesto de transmisión del elemento patrimonial antes de que finalice el plazo de permanencia exigido, de cuando debe realizarse la reinversión para no perder el derecho a la deducción, entendiendo la DGT en informe IE0041-14, de 6 de febrero, que la empresa cuenta con un plazo de dos años para la reinversión, contados desde el inicio del período impositivo en que se produce la transmisión.
13.2.4. Régimen de incompatibilidades
La deducción por inversión de beneficios es incompatible con los siguientes incentivos fiscales:
- Con la aplicación de la libertad de amortización. Nada se dice de la aceleración de amortizaciones (artículo 103 de la Ley del Impuesto sobre Sociedades) ni del arrendamiento financiero (artículo 106 de la Ley del Impuesto sobre sociedades), incentivos fiscales con los que, entendemos, sí que resultará compatible.
- Con la deducción por inversiones en Canarias (artículo 94 Ley 20/1991).
- Con la Reserva para inversiones en Canarias (artículo 27 Ley 19/1994).
Por lo demás, la deducción por inversión de beneficios está sometida al régimen general de incompatibilidades del artículo 39 de la Ley del Impuesto sobre Sociedades, cuyo apartado 4 establece: “Una misma inversión no podrá dar lugar a la aplicación de más de una deducción en la misma entidad salvo disposición expresa, ni podrá dar lugar a la aplicación de una deducción en más de una entidad”.
Veamos un EJEMPLO:
Ejemplo
Sea un contribuyente que desarrolla una actividad económica que aplica el método de estimación directa simplificada, determinando los rendimientos, base liquidable general y cuota íntegra total, estatal más autonómica, siguientes para 2015 y 2016:
2015 |
2016 |
|
Rendimientos netos actividad económica EDS |
40.000,00 |
40.000,00 |
Otros rendimientos netos base imponible general |
12.000,00 |
12.000,00 |
Base imponible general |
52.000,00 |
52.000,00 |
Reducción base imponible general |
-10.000,00 |
-12.000,00 |
Base liquidable general |
42.000,00 |
40.000,00 |
Cuota íntegra total (estatal más autonómica) |
10.715,50 |
9.391,50 |
Determinar la deducción por inversión de beneficios, sabiendo que en diciembre de 2016 ha adquirido inmovilizado material nuevo que afecta a su actividad económica por importe de 75.000 euros y que ni en 2015 ni en 2016 ha aplicado la reducción prevista en el artículo 32.3 de la Ley del IRPF, cumpliéndose con los límites del artículo 69 de la Ley del IRPF.
Solución
La deducción resulta aplicable en 2016, año en el que se materializa la inversión de los beneficios de la actividad, y el rendimiento neto computable como base de la deducción será la cuantía equivalente a la parte de la base liquidable general positiva de 2015 y 2016 que corresponda a tales rendimientos, con el límite del importe invertido:
- Rendimientos computables como base de deducción, esto es, la cuantía equivalente de la base liquidable general correspondiente a rendimientos de la actividad:
En 2015 (42.000 x 40.000/52.000) |
32.307,69 |
| En 2016 (40.000 x 40.000/52.000) |
30.769,23 |
Rendimientos computables base deducción |
63.076,92 |
- Cuantificación de la deducción:
Base deducción |
63.076,92 | ||
Importe invertido |
75.000,00 | ||
Rendimientos computables base deducción |
63.076,92 | ||
Importe deducción |
3.153,85 | ||
Deducción (63.076,92 x 0,05) |
3.153,85 | ||
Límite (10.715,50 + 9.391,50) |
20.107,50 | ||
13.3. Deducciones por donativos y otras aportaciones
Se modifica el apartado 3 del artículo 68 de la Ley del IRPF a efectos de establecer una deducción por las cuotas de afiliación y las aportaciones a Partidos Políticos, Federaciones, Coaliciones o Agrupaciones de Electores, aplicable de acuerdo con los siguientes parámetros:
- La base de deducción está constituida por las cuotas de afiliación y aportaciones previstas en la letra a) del apartado dos del artículo 2 de la Ley Orgánica 8/2007, de 4 de julio, sobre financiación de los partidos políticos (cuotas y aportaciones de afiliados, adheridos y simpatizantes), con el límite máximo de 600 euros anuales.
- El coeficiente de deducción se establece en el 20%.
Por otro lado, con efectos desde 1 de enero de 2015 la Disposición final quinta de la Ley del Impuesto sobre Sociedades da nueva redacción al artículo 19 y añade una nueva disposición transitoria quinta, ambos preceptos de la Ley 49/2002, de 23 de diciembre, de régimen fiscal de las entidades sin fines lucrativos y de los incentivos fiscales al mecenazgo, al objeto de mejorar el régimen de la deducción por donativos a entidades incluidas en el ámbito de la citada Ley 49/2002, estimulando la fidelización de tales donaciones en los siguientes términos:
Base de deducción importe hasta |
Porcentaje de deducción para 2015 |
Porcentaje de deducción a partir de 2016 |
150 euros |
50 por 100 |
75 por 100 |
Resto base deducción |
27 por 100 (1) |
30 por 100 (1) |
| (1) Si en los dos períodos impositivos inmediatamente anteriores se hubieran realizado donativos con derecho a deducción a favor de una misma entidad beneficiaria del mecenazgo por importe igual o superior, en cada uno de ellos, al del ejercicio inmediato anterior, el porcentaje de deducción aplicable a la base de la deducción a favor de esa misma entidad que exceda de 150 euros será del 32,5% para 2015 y del 35% a partir de 2016. | ||
Con la normativa anterior a la reforma el porcentaje de deducción era del 25%, pudiéndose incrementar, por Ley de Presupuestos Generales del Estado, en cinco puntos porcentuales en relación con las actividades y programas prioritarios del mecenazgo aprobados. Opción esta última que no resulta expresamente suprimida por lo que, entendemos, se mantiene, habiéndose modificado únicamente los porcentajes generales de la deducción. En todo caso habremos de estar a lo que se disponga por la Ley de Presupuestos Generales del Estado correspondiente.
En todo caso, como hasta ahora, la base de esta deducción se computará a efectos del límite previsto en el artículo 69.1 de la Ley del IRPF.
13.4. Deducción por rentas obtenidas en Ceuta y Melilla
Se modifica la letra h) del número 3º del apartado 4 del artículo 68 de la Ley del IRPF, para condicionar la posibilidad de acoger a esta deducción las rentas procedentes de sociedades que operen efectiva y materialmente en Ceuta o Melilla, que se correspondan con rentas a las que les resulte de aplicación la bonificación por rentas obtenidas en Ceuta o Melilla aplicable en el ámbito del Impuesto sobre Sociedades, en los siguientes supuestos:
- Cuando tengan su domicilio y objeto social exclusivo en dichos territorios.
- Cuando vinieran operando efectiva y materialmente en Ceuta o Melilla durante un plazo no inferior a tres años y obtengan rentas fuera de dichas ciudades con derecho a la aplicación de la bonificación, con los requisitos y cautelas que se establezcan reglamentariamente.
14. Determinación de la cuota diferencial y del resultado de la declaración [subir]
Se modifica el artículo 79 de la Ley del IRPF, para adecuarlo a los cambios introducidos en materia de minoraciones de la cuota líquida para determinar la cuota diferencial, que se concretan en los siguientes aspectos (al margen de la supresión de la compensación fiscal por percepción de determinados rendimientos del capital mobiliario con período de generación superior a dos años, ya comentada):
- Se modifica el apartado 3 del artículo 80 de la Ley del IRPF, al único objeto de introducir una mejora en la técnica de redacción.
- Se suprime el artículo 80 bis de la Ley del IRPF, al objeto de eliminar la deducción por obtención de rendimientos del trabajo o de actividades económicas.
- Se añade un nuevo artículo 81 bis a la Ley del IRPF, para establecer una triple deducción por familia numerosa o personas con discapacidad a cargo (de corte muy similar a la deducción por maternidad, abono anticipado incluido, que se mantiene):
- Por cada descendiente con discapacidad, con derecho a la aplicación del mínimo por descendientes: hasta 1.200 euros anuales.
- Por cada ascendiente con discapacidad, con derecho a la aplicación del mínimo por ascendientes: hasta 1.200 euros anuales.
- Por ser un ascendiente, o un hermano huérfano de padre y madre, que forme parte de una familia numerosa: hasta 1.200 euros anuales. Deducción que se incrementará en un 100% en caso de familias numerosas de categoría especial.
- Se calculan de forma proporcional al número de meses en que concurran las circunstancias determinantes de su aplicación.
- Tendrán como límite, para cada una de ellas, las cotizaciones y cuotas totales a la Seguridad Social y Mutualidades devengadas en el período impositivo.
- El citado límite se aplica separadamente para cada modalidad de deducción y, cuando sean varios los descendientes o ascendientes con discapacidad, se aplicará también de forma independiente respecto de cada uno de ellos.
- A efectos de cálculo del límite, se computarán las cotizaciones y cuotas por sus importes íntegros, sin tomar en consideración las bonificaciones que pudieran corresponder.
- Se podrán solicitar de forma anticipada.
Las características básicas de estas deducciones, respecto de las que se dispone una amplia remisión reglamentaria para establecer el procedimiento de aplicación, son:
15. Regímenes especiales [subir]
15.1. Imputación de rentas inmobiliarias
Se modifican los apartados 1 y 2 del artículo 85 de la Ley del IRPF, para introducir un ligero cambio en las reglas de cuantificación de las rentas inmobiliarias imputadas (en sintonía con los cambios introducidos para la cuantificación de la retribución en especie por utilización de vivienda propiedad del empleador):
- Se establece que el porcentaje reducido del 1,1% para determinar la renta inmobiliaria imputada, resultará de aplicación únicamente cuando se trate de inmuebles localizados en municipios en los que los valores catastrales hayan sido revisados con efectos del propio período impositivo o de los diez años anteriores. Con anterioridad a la reforma la norma hablaba de valores catastrales revisados con entrada en vigor a partir de 1 de enero de 1994.
- Por otro lado, para los supuestos en los que a la fecha de devengo del impuesto los inmuebles carecieran de valor catastral o este no hubiera sido notificado al titular, se establece que el citado porcentaje reducido del 1,1% se aplicará el 50% del mayor de los dos siguientes valores:
- El precio, contraprestación o valor de adquisición.
- El valor comprobado por la Administración a efectos de otros tributos.
Hasta ahora, la base computable para la citada cuantificación se articulaba por remisión al valor prevalente a efectos del Impuesto sobre el Patrimonio, sin que ello implique cambios en la cuantía de la retribución en especie resultante.
15.2. Transparencia fiscal internacional
Se modifica el artículo 91 de la Ley del IRPF, para introducir importantes modificaciones en el régimen de transparencia fiscal internacional, que recogemos sucintamente:
- Se establece la obligación de transparentar toda la renta positiva obtenida en el extranjero por entidades no residentes que no dispongan de la correspondiente organización de medios personales y materiales, salvo que tales medios concurran en sede de otra entidad no residente perteneciente al mismo grupo (en el sentido del artículo 42 del Código de Comercio) o que su constitución y operativa responda a motivos económicos válidos.
- De no proceder la imputación global de rentas positivas, se transparentarán únicamente las rentas positivas derivadas de las fuentes específicamente contempladas, sin que en conjunto pueda resultar una renta imputada superior a la renta total de la entidad no residente, que son las previstas en la normativa anterior a la reforma (titularidad de bienes inmuebles no afectos a actividades económicas, participación en fondos propios de entidades y cesión a terceros de capitales propios o rentas derivadas de actividades crediticias, financieras, aseguradoras y de prestación de servicios), a las que se añaden:
- Las operaciones de capitalización y seguro que tengan como beneficiaria a la propia entidad.
- La propiedad industrial e intelectual, asistencia técnica, bienes muebles o derechos de imagen cuando no resulte de aplicación su propio régimen especial.
- Los instrumentos financieros derivados, salvo que se destinen a la cobertura específica de riesgos en el desarrollo de actividades económicas.
- Se elimina la posibilidad de optar por imputar las rentas en el período impositivo de aprobación de cuentas, siendo imperativa la imputación al período impositivo de conclusión del ejercicio social.
- Entre la información a presentar junto con la declaración, se añade la correspondiente al lugar del domicilio fiscal y la memoria de las cuentas anuales.
- Para que opere la regla de presunciones establecida, se añade al supuesto determinante de mediar un país o territorio considerado como paraíso fiscal el de que se trate de un territorio de nula tributación.
- Se precisa que la exclusión del régimen de transparencia en relación con las entidades concernidas residentes en otro Estado Miembro de la Unión Europea, lo será siempre que se acredite que su constitución y operativa responde a motivos económicos válidos y que realiza actividades económicas o que se trate de una institución de inversión colectiva regulada por la normativa comunitaria.
15.3. Régimen fiscal especial aplicable a los trabajadores desplazados a territorio español
Se modifica el artículo 93 de la Ley del IRPF, para introducir importantes modificaciones en el conocido como régimen especial de “impatriados”, que recogemos sucintamente:
- Se ve alterado su ámbito de aplicación en los siguientes términos:
- Se excluye de su ámbito a los deportistas profesionales sometidos al Real Decreto 1006/1985.
- Se admite su aplicación en relación con los administradores de entidades en cuyo capital no participen o cuando la participación detentada no determine la consideración de entidad vinculada.
- Se eliminan los requisitos de que los trabajos se realicen efectivamente en territorio español, que se realicen para una empresa o entidad residente en España y que los rendimientos del trabajo no estén exentos en el Impuesto sobre la Renta de no Residentes (IRNR)
- Se suprime el requisito cuantitativo de que las retribuciones previsibles no excedan de los 600.000 euros anuales.
- Para el cálculo de la deuda tributaria se aplicará la normativa del IRNR para las rentas obtenidas sin mediación de establecimiento permanente, con las especialidades que se establecen:
- No serán de aplicación las exenciones previstas en la normativa del IRNR.
- Los rendimientos del trabajo percibidos por el contribuyente se entenderán, en todo caso, obtenidos en territorio español.
- Se gravarán acumuladamente las rentas obtenidas durante todo el año, sin que sea posible compensación alguna entre ellas.
- Se adecuan los tipos de gravamen aplicables a las nuevas tarifas del IRPF:
- Los dividendos, intereses y ganancias patrimoniales derivadas de transmisiones, se gravarán según los tipos de la escala aplicable a la base imponible del ahorro, antes comentados.
- El resto de rentas, se gravarán según la siguiente escala:
Base liquidable |
Tipo 2015 |
Tipo 2016 |
Hasta 600.000 euros |
24% |
24% |
Desde 600.000 euros en adelante |
47% |
45% |
- En materia de retenciones e ingresos a cuenta, que se aplicarán de acuerdo con la normativa del IRNR y el correspondiente desarrollo reglamentario, se concreta que el porcentaje de retención para los rendimientos del trabajo será del 24% sobre los primeros 600.000 euros y del 45% (47% en 2015) sobre el exceso.
Como consecuencia de los cambios introducidos se articula un régimen transitorio (disposición transitoria decimoséptima de la Ley del IRPF) para permitir que los contribuyentes que se hubieran desplazado a territorio español con anterioridad a 1 de enero de 2015 puedan optar por seguir aplicando el régimen vigente a 31 de diciembre de 2014, opción que deberá realizarse al tiempo de presentar la declaración por el ejercicio 2015 y mantenerse hasta el final de la aplicación del régimen especial.
15.4. Instituciones de inversión colectiva
Se modifica la letra c) del apartado 1 del artículo 94 de la Ley del IRPF al único objeto de adecuar la remisión normativa a los cambios introducidos por Ley de reforma.
15.5. Ganancias patrimoniales por cambio de residencia
Se añade un nuevo artículo 95 bis a la Ley del IRPF, para establecer un régimen especial aplicable en los supuestos en los que un contribuyente pierda su condición de tal por cambio de residencia, de acuerdo con los siguientes parámetros básicos:
- El supuesto de hecho que se contempla es el de un contribuyente, residente en España durante al menos diez de los quince últimos períodos impositivos, titular de acciones o participaciones en cualquier tipo de entidad cuyo valor de mercado supere los 4.000.000, o el 1.000.000 de euros si le otorgan una participación superior al 25%, que pierde su condición de contribuyente por el IRPF por traslado de su residencia.
- La consecuencia es la integración en la base imponible del ahorro, en el último período impositivo en el que debió de tributar por el IRPF, de una ganancia patrimonial determinada, básicamente (se establecen reglas específicas para la determinación de la ganancia patrimonial), por diferencia entre el valor de mercado de las acciones o participaciones y su valor de adquisición, debiéndose practicar, en su caso, autoliquidación complementaria que no llevará sanción, interés de demora ni recargo alguno. Si se adquiriese de nuevo la condición de contribuyente sin haber transmitido la titularidad de las acciones o participaciones concernidas, se podrá solicitar la rectificación de la autoliquidación al objeto de obtener la devolución de las cantidades ingresadas, con el abono de intereses de demora desde la fecha en que se hubiese realizado el ingreso.
Cuando el cambio de residencia tenga carácter temporal por motivos laborales, a un país o territorio que no tenga la consideración de paraíso fiscal, o por cualquier otro motivo siempre que el desplazamiento temporal se produzca a un país o territorio que tenga suscrito con España un convenio para evitar la doble imposición con cláusula de intercambio de información, se podrá solicitar un aplazamiento de acuerdo con las reglas que se establecen.
Asimismo, cuando el cambio de residencia se produzca a otro Estado miembro de la Unión Europea, o del Espacio Económico Europeo con el que exista un efectivo intercambio de información tributaria, se establece también la posibilidad de optar por la aplicación de ciertas reglas especiales.
Por último, indicar que el régimen especial también se aplicará, con ciertas especialidades, cuando el cambio de residencia se opere a un país o territorio considerado como paraíso fiscal, aunque no se pierda la condición de contribuyente de acuerdo con el artículo 8.2 de la Ley del IRPF.
16. Gestión del impuesto [subir]
16.1. La obligación de declarar
Se modifican los apartados 3 y 4 del artículo 96 de la Ley del IRPF, al doble objeto de elevar desde los 11.200 euros actuales hasta los 12.000 euros el límite para no estar obligado a presentar declaración en determinados supuestos y de ajustar su contenido a la supresión de la deducción por cuenta-ahorro empresa.
16.2. Pagos a cuenta
Se modifica el apartado 5 del artículo 99, el apartado 1 del artículo 100, los apartados 1, 2, 3, 4, 5 y 6 del artículo 101, la disposición adicional vigésima cuarta y la disposición adicional trigésima primera de la Ley del IRPF, para introducir los siguientes cambios en materia de pagos a cuenta:
- Se especifica que sólo se podrá deducir como pago a cuenta la cantidad que debió ser retenida, cuando la misma no se hubiera practicado o lo hubiera sido por un importe inferior al debido, si el defecto de retención fuera imputable exclusivamente al retenedor.
- Se establece la obligación de retener, para la entidad depositaria o, en su defecto, el intermediario financiero o el fedatario público interviniente, en la transmisión derechos de suscripción preferente de acciones o participaciones. Se establece un porcentaje de retención del 19% pero su entrada en vigor se pospone hasta el 1 de enero de 2017.
- Como ya se ha comentado, se establece una nueva escala de retenciones para rendimientos del trabajo cuyos tipos marginales oscilan entre el 19% (20% en 2015) y el 45% (47% en 2015).
- Se establece el tipo de retención aplicable sobre los rendimientos del trabajo percibidos por administradores en el 35% (37% en 2015). No obstante cuando tales rendimientos procedan de entidades con un importe neto de la cifra de negocios inferior a 100.000 euros el citado porcentaje se reduce hasta el 19% (20% en 2015).
- Se establece en el 18% (19% en 2015) el tipo de retención aplicable sobre los rendimientos de actividades profesionales.
- Se establece un tipo de retención reducido del 15% sobre los rendimientos de actividades profesionales, cuando su volumen de ingresos del ejercicio inmediato anterior sea inferior a 15.000 euros y represente más del 75% de sus ingresos íntegros totales del trabajo personal y actividades económicas (modificación ya introducida por el Real Decreto-Ley 8/2014, de 4 julio). Para su efectividad se deberá comunicar al pagador de los rendimientos la concurrencia de tal circunstancia, comunicación que deberá ser conservada por este.
- Se establece en el 18% (19% en 2015) el tipo de retención aplicable sobre los rendimientos derivados de impartir cursos, conferencias, coloquios, seminarios, y similares, o derivados de la elaboración de obras literarias, artísticas o científicas, siempre que se ceda el derecho a su explotación.
- Se establece en el 19% (20% en 2015) el porcentaje de retención aplicable sobre las restantes rentas que con anterioridad a la reforma soportaban una retención del 21%.
- Se habilita una remisión reglamentaria para establecer determinadas especialidades en relación con los pagos a cuenta sobre los rendimientos del trabajo que se satisfagan o abonen durante el mes de enero de 2015.
16.3. Otras obligaciones formales y de información
Se modifican los apartados 1 y 2 del artículo 103, el apartado 5 del artículo 104, la letra f) del apartado 2 del artículo 105 y se modifica la letra b) y se añaden dos nuevas letras e) y f) al apartado 3 de la disposición adicional decimotercera de la Ley del IRPF, para introducir los siguientes cambios:
- Adecuar la regulación del régimen de devoluciones a las distintas modificaciones introducidas, en concreto para contemplar las nuevas deducciones por familia numerosa o personas con discapacidad a cargo.
- Incluir ciertos matices en relación con las obligaciones formales que atañen a los contribuyentes titulares de patrimonios protegidos, que también deberán informar sobre el gasto de dinero y el consumo de bienes fungibles integrantes del patrimonio protegido, en los términos que se establezcan reglamentariamente.
- Establecer nuevas obligaciones de información, en los términos que se determinen reglamentariamente, para:
- Las entidades que distribuyan prima de emisión o reduzcan capital con devolución de aportaciones, en relación con las distribuciones realizadas no sometidas a retención.
- Las entidades financieras, en relación con las rentas vitalicias aseguradas a que se refiere el nuevo apartado 3 del artículo 38 de la Ley del IRPF.
- Las entidades que comercialicen los contratos de PALP.
- Las Comunidades Autónomas y el Instituto de Mayores y Servicios Sociales respecto de las personas que cumplan la condición de familia numerosa y de los datos de grado de discapacidad de las personas con discapacidad.
Roberto Alonso Alonso
Inspector de Hacienda del Estado
Otros temas relacionados:




